|
|
Artículo Estructura interna de la versión abreviada del Inventario de Respuestas de AfrontamientoInternal Structure of the Short Form of the Coping Responses Inventory |
Nicolás Alejandro Vizioli 1 *
Melina Claudia Crespi 2
Isabel María Mikulic 3
1 Universidad de Buenos Aires, Buenos Aires, Argentina
https://orcid.org/0000-0002-6113-6847
2 Universidad de Buenos Aires, Buenos Aires, Argentina
0000-0003-4183-5103
3 Universidad de Buenos Aires, Buenos Aires, Argentina
* Datos de contacto: Bustamante y Guevara 1637, Buenos Aires, Argentina.
nicovizioli@gmail.com
Nota del autor: Los datos se encuentran a disposición de quien los solicite a través del correo electrónico del autor de correspondencia.
Conflicto de intereses: Los autores declaran que no existen conflictos de interés.
Recibido: septiembre 29/2023
Concepto de evaluación: abril 29/2025;
Aceptado: agosto 27/2025
Cómo citar [APA]: Vizioli, N. A., Crespi, M. C., & Mikulic, I. M. (2025). Estructura interna de la versión abreviada del Inventario de Respuestas de Afrontamiento. Acta Colombiana de Psicología, 28, 1-21.https://doi.org/10.14718/ACP.2025.28.12
Resumen
El objetivo del presente estudio fue analizar la estructura interna de la versión abreviada del Inventario de Respuestas de Afrontamiento (CRI-A) con una muestra de 987 individuos con edades entre los 18 y 63 años (M = 29; DE = 9.86) de la ciudad de Buenos Aires, Argentina. Se compararon tres modelos mediante análisis factoriales confirmatorios: el Modelo 1, con el ajuste de los 24 reactivos de la versión abreviada del CRI-A a los factores de aproximación y evitación; el Modelo 2, con el ajuste de los 24 reactivos a cuatro dimensiones según foco y método; y el Modelo 3, con el ajuste de los 24 reactivos a ocho dimensiones con factores de segundo orden de aproximación y de evitación. Los modelos 1 y 2 reespecificados mostraron ajustes adecuados, con valores de χ² (GL) = 650.18 (146), RMSEA (IC 90 %) = .07 (.07-.08), SRMR = .08, CFI = .92, TLI = .91, GFI = .96, PNFI = .73, AIC = 46629.55, y χ² (GL) = 747.55 (146), RMSEA (IC 90 %) = .06 (.06-.07), SRMR = .07, CFI = .93, TLI = .92, GFI = .97, PNFI = .79, AIC = 51908.43, respectivamente, e invarianza según el género. El Modelo 1 mostró valores de confiabilidad más elevados. A partir de los resultados y del modelo teórico de base, se arribó a una versión abreviada del CRI-A válida y fiable, con 19 reactivos que miden cuatro factores.
Palabras clave: afrontamiento, validez, estructura factorial, invarianza, confiabilidad.
Abstract
The aim of this study was to analyze the internal structure of the short version of the Coping Responses Inventory (CRI-SF) with a sample of 987 individuals aged between 18 and 63 years (M = 29; SD = 9.86) from the city of Buenos Aires, Argentina. Three models were compared using confirmatory factor analyses: Model 1, which tested the fit of the 24 items of the CRI-SF to the approach and avoidance factors; Model 2, which tested the fit of the 24 items to four dimensions according to focus and method; and Model 3, which tested the fit of the 24 items to eight dimensions with second-order approach and avoidance factors. Respecified Models 1 and 2 showed adequate fit, with the following values : χ² (GL) = 650.18 (146), RMSEA (IC 90 %) = .07 (.07-.08), SRMR = .08, CFI = .92, TLI = .91, GFI = .96, PNFI = .73, AIC = 46629.55, y χ² (GL) = 747.55 (146), RMSEA (IC 90 %) = .06 (.06-.07), SRMR = .07, CFI = .93, TLI = .92, GFI = .97, PNFI = .79, AIC = 51908.43, respectively, and invariance by gender. Model 1 showed higher reliability values. Based on the results and the underlying theoretical model, a valid and reliable short form of the CRI-SF was obtained, consisting of 19 items that measure four factors.
Keywords: coping, validity, factor structure, invariance, reliability.
Introducción
El estrés se ha definido tradicionalmente como la respuesta a un estímulo percibido como amenaza, caracterizada por el desarrollo de un afecto negativo que puede provocar ansiedad, incomodidad, tensión y dificultades de adaptabilidad (Folkman, 2020; Selye, 2013). Con el fin de manejar o reducir el impacto del estrés frente a demandas percibidas como amenazantes, las personas utilizan las denominadas respuestas de afrontamiento (Halstead et al., 1993).
El término afrontamiento refiere a los esfuerzos cognitivos o conductuales que se ponen en práctica para manejar las demandas internas o externas que el individuo percibe como desbordantes de sus propios recursos (Lazarus & Folkman, 1984). Sin embargo, si bien el afrontamiento tiene la finalidad de manejar el estrés, las respuestas de afrontamiento dependen de distintos factores, tanto personales como contextuales, y no siempre resultan adaptativas (Folkman, 2020). En este sentido, respuestas muy frecuentes o intensas pueden conducir a diferentes tipos de problemáticas desadaptativas, como el desarrollo de trastornos mentales (Crespo & Labrador, 2003).
Teniendo esto en consideración, se han descrito distintos tipos de afrontamiento, entre los cuales se encuentran el afrontamiento evitativo, que se asocia a mayores niveles de estrés y sintomatologia psicológica; y el afrontamiento por aproximación o activo, que correlaciona con menores niveles de sintomatología psicológica y mayor grado de bienestar (Fu et al., 2020; Gurvich et al., 2020; Kar et al., 2021; Rettie & Daniels, 2021).
Considerando la relación entre afrontamiento y salud psicológica, se han desarrollado distintos modelos que explican su vinculación (Aspinwall & Taylor, 1997; Hobfoll, 1989; Lazarus & Folkman, 1984; Moos, 1993; Pearlin & Schooler, 1978; Stanislawski, 2019), pero uno de los más destacados es el modelo transaccional (Lazarus & Folkman, 1984; Moos, 1993). Entre sus características más importantes, puede reconocerse, por una parte, el rol de la evaluación cognitiva de la situación, y, por otra, de las respuestas de afrontamiento propiamente dichas (Biggs et al., 2017; Frydenberg, 2017).
La evaluación cognitiva determina la intensidad de la reacción de estrés, en tanto se concibe como el proceso por el cual se asigna un significado a la situación (Lazarus & Folkman, 1984). Desde la óptica transaccional, las valoraciones que un individuo realiza de una situación dependen de la integración de aspectos individuales —como metas, valores y creencias— y de factores contextuales —como demandas y recursos— (Allen, 2021; Biggs et al., 2017; Lazarus, 1991; Mikulic et al., 2015). Según esta teoria, las personas evalúan los estímulos del entorno de manera constante, en un proceso en el cual se generan emociones, de manera que cuando los estímulos son evaluados como amenazantes, el malestar percibido conduce a una respuesta de afrontamiento que tiene por finalidad regular las emociones suscitadas o directamente manejar la situación estresante (Lazarus & Folkman, 1984).
Ahora bien, una vez iniciado el proceso de afrontamiento, se producen cambios tanto en la persona como en el entorno, con resultados que pueden ser favorables o desfavorables, pues la resolución favorable de la situación estresante puede provocar emociones positivas, mientras que la resolución desfavorable puede causar malestar y requerir un nuevo proceso de afrontamiento (Stanislawski, 2019).
Desde este modelo transaccional, uno de los instrumentos de evaluación del afrontamiento en población adulta más reconocidos es el Coping Responses Inventory (CRI-A), desarrollado por Moos (1993), que consta de 48 ítems que miden ocho respuestas de afrontamiento: análisis lógico, revalorización positiva, búsqueda de orientación y apoyo, resolución de problemas, evitación cognitiva, aceptación/resignación, búsqueda de gratificaciones alternativas y descarga emocional. Moos (1993) propuso la agrupación de estas respuestas según su foco (evitación o aproximación) y su método (cognitivo o conductual), tal como se muestra en la Figura 1.
Figura 1. Dimensiones específicas de afrontamiento según método y foco
Foco |
|||
Aproximación |
Evitación |
||
Método |
Cognitivo |
Análisis lógico |
Evitación cognitiva |
Revalorización positiva |
Aceptación/resignación |
||
Conductual |
Resolución de problemas |
Búsqueda de gratificaciones alternativas |
|
Búsqueda de orientación/apoyo |
Descarga emocional |
||
Nota. Fuente: adaptado a partir de Moos (1993).
En lo que respecta al estudio psicométrico del inventario, Moos (1993) reportó coeficientes alfa de Cronbach entre .58 y .74 y coeficientes de correlación entre dimensiones de -.19 (resolución de problemas con aceptación/ resignación) a .57 (análisis lógico con resolución de problemas). Incluso, realizó estudios que aportan evidencia de su validez convergente con versiones anteriores del CRI-A.
Ahora bien, dado que el CRI-A se diseñó desde un enfoque teórico, más que empírico (Kirchner et al., 2008; Moos, 1993), su estructura factorial ha sido tema de interés y de debate. En este sentido, en distintas investigaciones con muestras de adultos se ha hallado la adecuación de soluciones factoriales congruentes con los focos de aproximación y evitación. No obstante, la subescala de búsqueda de gratificaciones alternativas se ha presentado como una dimensión de aproximación más que de evitación (Kirchner et al., 2008; Mikulic & Crespi, 2008).
Por ejemplo, Kirchner et al. (2008), en su estudio con una muestra de 800 adultos de Barcelona, España, y alrededores, hallaron por medio de análisis factoriales confirmatorios una estructura de dos factores que definieron como aproximación y evitación, que se asemeja mucho a la original. Sin embargo, a diferencia del modelo propuesto por Moos (1993), la subescala de búsqueda degratificaciones alternativas saturó en el factor de aproximación; y, en cuanto a la consistencia interna, hallaron coeficientes alfa de Cronbach entre .50 y .70, así como valores adecuados de estabilidad temporal obtenidos a través del cálculo de coeficientes de correlación interclase.
Asimismo, en Argentina, Mikulic y Crespi (2008) realizaron la validación de la adaptación argentina del CRI-A realizada por Mikulic (1998), donde reportaron evidencias acerca de la dimensionalidad del instrumento, así como de su consistencia interna. En dicho estudio, mediante un análisis de componentes principales con rotación oblimin que incluyó las ocho dimensiones de afrontamiento evaluadas por el CRI-A, se halló una estructura factorial de dos componentes (aproximación y evitación), y, al igual que en el estudio de Kirchner et al. (2008), la subescala de búsqueda de gratificaciones alternativas tuvo una carga factorial más alta en el componente de aproximación. En cuanto a la consistencia interna, se hallaron valores alfa de Cronbach entre .52 y .57 para las ocho respuestas de afrontamiento, y entre .79 y .81 para las subescalas globales de evitación y aproximación.
En los últimos años, con el fin de ahorrar costos y tiempo en la administración de pruebas, el interés por generar versiones breves de instrumentos de medición ha aumentado considerablemente (Kemper et al., 2019; Monticone et al., 2021); tendencia que también se ha registrado con respecto al CRI-A.
Por ejemplo, Walsh y McGrath (2000) desarrollaron una versión abreviada de 12 ítems del instrumento y la validaron con una muestra conformada por 112 adultos que residían en Inglaterra. En su estudio, hallaron índices de consistencia interna para los factores de aproximación conductual y aproximación cognitiva de .60 y .63, respectivamente; mientras que para los factores de evitación conductual y evitación cognitiva encontraron valores de .06 y .33. Con estos resultados, los autores consideraron que la aproximación conductual y la aproximación cognitiva constituyen dimensiones confiables, pero desestimaron las de evitación por su baja consistencia interna.
Por su parte, Blalock y Joiner (2000), administraron en una muestra de 179 estudiantes una versión abreviada conformada por las subescalas de evitación cognitiva y evitación conductual, con lo cual hallaron coeficientes alfa de Cronbach de .78 y .81, respectivamente, y una estabilidad temporal moderada de .52. Asimismo, mediante un análisis factorial confirmatorio, hallaron que la solución de dos factores de evitación (cognitiva y conductual) se adecuó mejor que la de un factor; lo mismo que con las respuestas de aproximación. El modelo que probaron fue concordante con la teoría de Moos (1993), de manera que se puede afirmar que el supuesto de que existen dos tipos de métodos de afrontamiento (cognitivo y conductual) fue confirmado.
Asimismo, en Argentina se elaboró una versión abreviada del inventario a partir de la adaptación del CRI-A original de Moos (Mikulic, 1998) y de los estudios de validación realizados con la versión adaptada (Mikulic & Crespi, 2008). En esta versión, se seleccionaron los reactivos que mostraron cargas factoriales más altas en los análisis factoriales exploratorios realizados con el instrumento de 48 items; sin embargo, aún no se dispone de evidencias en cuanto a las propiedades psicométricas de la misma por medio de muestras grandes, ni se cuenta con el estudio de su validez estructural mediante análisis factorial confirmatorio.
Por estas razones, en la presente investigación se propone estudiar la estructura interna de la versión abreviada del CRI-A para su uso en adultos de Buenos Aires. Especificamente, se plantearon como objetivos: (a) analizar la estructura factorial de la versión abreviada del CRI-A, (b) indagar su invarianza de medición según el género, (c) analizar la existencia de diferencias latentes según el género en las escalas del CRI-A, y (d) estudiar su consistencia interna como medida de fiabilidad.
Método
Diseño
De acuerdo con Ato et al. (2013), se realizó un estudio con un diseño de tipo instrumental, dado que se enfoca en la validación de un instrumento de medición.
Participantes
Se seleccionó una muestra, mediante un muestreo intencional no probabilístico, de 987 adultos de entre 18 y 60 años (M = 29; DE = 9.86). El tamaño muestral fue lo suficientemente grande para obtener estimaciones consistentes, según los criterios propuestos por Kyriazos (2018), para realizar análisis factoriales confirmatorios.
En cuanto a las características generales de la muestra, el 55 % (n = 544) refirió residir en la Ciudad de Buenos Aires, y el 45 % (n = 443), en el Conurbano Bonaerense. En cuanto al género, el 60 % (n = 591) reportó identificarse con el género femenino, y el 40 % (n = 396), con el masculino. Respecto al estado civil, el 53.6 % (n = 529) informó estar casado o en pareja, el 43 % (n = 425), soltero, el 2.8 % (n = 28), separado o divorciado, y el 0.6 % (n = 5), viudo. En cuanto al nivel de formación, el 46.8 % (n = 462) informó tener estudios de nivel universitario incompleto/en curso, el 16.7 % (n=165), de nivel terciario incompleto/en curso, el 14.3 % (n=141), universitario completo, el 9.9 % (n=98), secundario completo, el 6.2 % (n = 61), terciario completo, el 4.3 % (n=42), secundario incompleto, el 1.5 % (n=15), primario completo, y el 0.3 % (n = 3), estudios de posgrado.
Se incluyó a aquellos participantes que fueran mayores de edad y que residieran en el Conurbano Bonaerense o la ciudad de Buenos Aires, y que completaran un consentimiento informado y el instrumento. Como criterio de exclusión se consideró el no cumplimiento de estos requisitos.
Instrumentos
Cuestionario sociodemográfico
Se confeccionó un cuestionario sociodemográfico para recabar información acerca del género, la edad, el nivel de instrucción, el estado civil y el lugar de residencia de los participantes.
Versión abreviada del Inventario de Respuestas de Afrontamiento (CRI-A)
La versión abreviada del Inventario de Respuestas de Afrontamiento (CRI-A) consta de dos partes: en la primera, los participantes señalan una situación estresante (que en este estudio se refirió a la situación de pandemia por covid-19); y luego, en la segunda, responden a 24 reactivos redactados en formato de preguntas, con una escala de respuesta tipo Likert de cuatro puntos: nunca, raras veces, algunas veces y muy a menudo. Estos items evalúan las ocho respuestas de afrontamiento descritas, que comprenden, según el modelo de Moos (1993), respuestas de aproximación (cognitivas y conductuales), y respuestas de evitación (cognitivas y conductuales).
Procedimiento
La recolección de datos se realizó mediante una encuesta en línea que integró los distintos instrumentos. Antes de responder, los participantes completaron un consentimiento informado en el que se les explicó el objetivo de la investigación, las garantias de confidencialidad y de anonimato, el carácter voluntario y sin compensación de la participación, y la posibilidad de retirarse en cualquier momento. También se brindaron los datos de contacto de los investigadores responsables del estudio, para que dirigieran allí cualquier consulta respecto a las consignas, los ítems de los instrumentos o el propósito de la investigación.
Consideraciones éticas
Este estudio y todos sus procedimientos siguieron tanto los lineamientos de la Declaración de Helsinki (World Medical Association, 2013), que establece los principios y la ética fundamental para la investigación con seres humanos, como las recomendaciones de la American Psychological Association (2010) y las directrices de la Ley Argentina 25.326 de protección de los datos personales (Senado y Cámara de Diputados de la Nación Argentina, 2000).
Análisis de datos
En primera instancia, se realizó un análisis descriptivo de los datos, con cálculos de media, desviación estándar, asimetría y curtosis de cada uno de los items. Para evaluar los índices de asimetría y curtosis se consideraron adecuados valores incluidos en el rango entre -2 y 2 (George & Mallery, 2011). También se calculó la normalidad multivariada a través de los coeficientes propuestos por Mardia (1970), considerándose el cumplimiento del supuesto de normalidad con valores menores a 70 (Rodríguez & Ruiz, 2008).
Posteriormente, se evaluó la estructura factorial de la versión abreviada del Inventario de Respuestas de Afrontamiento (CRI-A) mediante análisis factoriales confirmatorios (AFC), y se realizó una comparación de modelos (Pérez, 2020), que incluyó a tres modelos rivales con base en la teoria y las investigaciones previas (Blalock & Joiner, 2000; Kirchner et al., 2008; Mikulic & Crespi, 2008; Moos, 1993; Walsh & McGrath, 2000):
• Modelo 1: ajuste de los 24 reactivos de la versión abreviada del CRI-A a los factores de aproximación y evitación (véase Figura 2).
• Modelo 2: ajuste de los 24 reactivos a cuatro dimensiones de afrontamiento conformadas según foco y método: aproximación cognitiva, aproximación conductual, evitación cognitiva y evitación conductual (véase Figura 3).
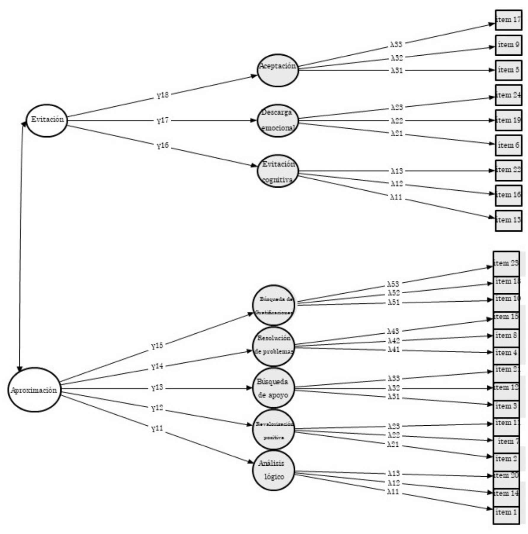
• Modelo 3: ajuste de los 24 reactivos a las ocho dimensiones de afrontamiento propuestas en la versión original de 48 ítems (análisis lógico, revalorización positiva, búsqueda de apoyo, resolución de problemas, búsqueda de gratificaciones alternativas, aceptación/resignación, evitación cognitiva y descarga emocional) con dos factores de segundo orden: aproximación y evitación (véase Figura 4).
Al tener cuatro opciones de respuesta cada ítem, los datos se trataron como ordinales (Rhemtulla et al., 2012). Por tanto, se utilizó el método de estimación robusto de minimos cuadrados ponderados diagonales (DWLS), adecuado para variables ordinales, y frente al incumplimiento de normalidad multivariada (Bandalos & Finney, 2018; Gomis-Pomares et al., 2022; Sellbom & Tellegen, 2019).
También se calcularon los errores estándar y los indices de bondad de ajuste robustos. El ajuste se evaluó mediante varios indices: el xz escalado de Satorra-Bentler, el índice de bondad de ajuste (GFI), el índice de ajuste comparativo (CFI), el índice de ajuste incremental (IFI), el error de aproximación de la media cuadrática (RMSEA), y el residuo cuadrático medio (SRMR). Los valores de GFI, CFI e IFI > 0.90 se consideraron adecuados (Hoyle, 1995), mientras que valores de RMSEA y de SRMR < .08 fueron considerados como aceptables (Byrne, 2016; Hu & Bentler, 1999).
Figura 2. Modelo 1: ajuste de los 24 reactivos de la versión abreviada del CRI-A a los factores de aproximación y evitación
Figura 3. Modelo 2: ajuste de los 24 reactivos a cuatro dimensiones de afrontamiento conformadas según foco y método
Figura 4. Modelo 3: ajuste de los 24 reactivos a las ocho dimensiones de afrontamiento propuestas en la versión original de 48 ítems con dos factores de segundo orden
Los AFC se realizaron con el software Jamovi, versión 2.3 (The jamovi project, 2022), con el módulo SEMLj (Gallucci & Jentschke, 2021), que es una interfaz para el paquete Lavaan (Rosseel, 2012) de R (R Core Team, 2021). Además, para obtener evidencias de validez de constructo, se examinaron las cargas estandarizadas de los reactivos, tomando como criterios valores límites de > .40 (Brown, 2006). Asimismo, se analizó el criterio de información de Akaike (Akaike Information Criterion, AIC) para la comparación de los modelos rivales. Se consideró que el modelo más parsimonioso sería aquel con valor AIC más bajo (Hair et al., 2014).
Posteriormente, se evaluó la invarianza de los modelos según el género (masculino [n = 396] vs. femenino [n = 591]). Siguiendo los criterios propuestos por Byrne (2016), se evaluó la invarianza a través de tres modelos —configural, métrica y escalar—: (a) para evaluar la invariancia configural, se probó un modelo sin restricciones que sirve como línea de base (Wang et al., 2018); (b) la invarianza métrica se evaluó probando un modelo con cargas factoriales restringidas entre grupos, para indagar si los participantes de todos los grupos atribuyen el mismo significado al constructo latente (Van de Schoot et al., 2012); y (c) la invarianza escalar se evaluó probando un modelo con cargas factoriales e interceptos restringidos para ser iguales en todos los grupos. Para establecer la invarianza, se evaluaron los cambios en los indices de bondad de ajuste (Wang et al., 2018). Dado que el estadístico χ 2 es sensible al tamaño muestral, cambios de ≤ 0.01 en CFI y cambios en el RMSEA de ≤ 0.015 se consideraron aceptables (Davidov et al., 2018).
Partiendo de los modelos de invarianza escalar (Byrne, 2016), se analizaron las diferencias de medias latentes según el género, con el fin de realizar comparaciones mediante análisis factoriales confirmatorios (Ondé & Alvarado, 2022). Para ello, las medias latentes del grupo femenino se establecieron en 0, mientras que se permitió a la media latente del grupo masculino estimar libremente. Se calculó la razón crítica, o critical ratio (CR), como medida de las diferencias medias latentes, dividiendo la estimación del parámetro por su error estándar. Valores de CR superiores a 1.96 se consideraron como indicadores de diferencias estadísticamente significativas (Byrne, 2016). También se incluyó la d de Cohen (1988) como medida del tamaño del efecto, donde se consideraron valores de 0.2 como pequeños, de 0.5 como medianos, y de 0.8 como grandes (Cohen, 1988).
Finalmente, para el análisis de la fiabilidad de la versión abreviada del CRI-A se utilizó el paquete semTools (Jorgensen et al., 2019), y se consideró el omega para variables discretas propuesto por Green y Yang (2009), así como una fórmula alternativa también propuesta por Green y Yang (2009), siguiendo las recomendaciones de Chalmers (2018) y Flora (2020). Asimismo, se calculó el alfa (Cronbach, 1951) y el alfa ordinal (Gadderman et al., 2012; Zumbo, 2007). Valores > .70 se consideraron aceptables (Groth-Marnat, 2009).
Resultados
Análisis descriptivo
Los reactivos presentaron valores adecuados de asimetría y curtosis en todos los casos (véase Tabla 1). Sin embargo, no se corroboró la normalidad multivariada (Mardia = 108.55).
Tabla 1. Media, desviación estándar, asimetría y curtosis de los reactivos del CRI-A
Ítems |
Media |
DE |
Asimetría |
Curtosis |
1. ¿Pensó en diferentes formas de solucionar el problema? |
1.88 |
0.96 |
- 0.34 |
- 0.93 |
2. ¿Se dijo cosas a sí mismo/a para sentirse mejor? |
1.96 |
1.00 |
- 0.57 |
- 0.78 |
3. ¿Habló con su esposo/a u otro familiar sobre este problema? |
1.87 |
1.07 |
- 0.49 |
- 1.03 |
4. ¿Hizo un plan de acción para enfrentar el problema y lo cumplió? |
1.37 |
1.08 |
0.10 |
- 1.28 |
5. ¿Sintió que el paso del tiempo cambiará las cosas, que esperar era lo único que podía hacer? |
1.92 |
1.04 |
- 0.58 |
- 0.85 |
6. ¿Se descargó con otras personas cuando se sintió enojado, deprimido, bajoneado o triste? |
1.66 |
1.09 |
- 0.16 |
- 1.28 |
7. ¿Se dijo a Ud. mismo/a que las cosas podían ser peores? |
2.01 |
1.04 |
- 0.67 |
- 0.80 |
8. ¿Se esforzó tratando de hacer algo para que las cosas funcionaran? |
2.02 |
0.89 |
- 0.50 |
- 0.66 |
9. ¿Se dio cuenta de que no tenía control sobre el problema? |
1.84 |
1.08 |
- 0.45 |
- 1.10 |
10. ¿Se dedicó a nuevas actividades como nuevos trabajos o distracciones? |
2.09 |
0.94 |
- 0.72 |
- 0.48 |
11. ¿Trató de ver el lado positivo de la situación? |
1.72 |
1.04 |
- 0.29 |
- 1.10 |
12. ¿Habló con algún profesional (médico, psicólogo, etc.)? |
0.89 |
1.18 |
0.87 |
- 0.91 |
13. ¿Se imaginó o soñó un tiempo o un lugar mejor del que Ud. vivía? |
1.76 |
1.10 |
- 0.35 |
- 1.20 |
14. ¿Trató de prever o de anticiparse a cómo resultaría todo? |
1.62 |
1.05 |
- 0.14 |
- 1.19 |
15. ¿Trató de resolver el problema, al menos en dos formas diferentes? |
1.32 |
1.00 |
0.22 |
- 1.02 |
16. ¿Evitó pensar en el problema, aun sabiendo que en algún momento debería pensar en él? |
1.44 |
1.09 |
0.06 |
- 1.30 |
17. ¿Aceptó el problema, porque pensó que nada se podía hacer? |
1.50 |
1.05 |
- 0.03 |
- 1.18 |
18. ¿Leyó, miró televisión, o realizó alguna otra actividad como forma de distracción? |
2.39 |
0.87 |
- 1.31 |
0.77 |
19. ¿Gritó como forma de desahogarse? |
0.57 |
0.96 |
1.56 |
1.13 |
20. ¿Trató de encontrarle alguna explicación o significado a esa situación? |
1.63 |
1.09 |
-0.17 |
-1.26 |
21. ¿Trató de averiguar más sobre la situación? |
1.73 |
1.09 |
-0.31 |
-1.21 |
22. ¿Deseó que el problema hubiera desaparecido o pasado? |
2.22 |
1.05 |
-1.02 |
-0.39 |
23. ¿Les dedicó más tiempo a actividades recreativas? |
1.73 |
1.05 |
-0.30 |
-1.11 |
24. ¿Lloró y descargó sus sentimientos? |
1.76 |
1.16 |
-0.31 |
-1.39 |
Estructura factorial
Los resultados de los análisis factoriales confirmatorios de la versión abreviada del Inventario de Respuestas de Afrontamiento (CRI-A), especificamente en cuanto a los índices de bondad de ajuste de los tres modelos rivales y las respectivas reespecificaciones, se observan en la Tabla 2.
En cuanto al Modelo 1, los valores de ajuste obtenidos no fueron adecuados, y con el fin de reespecificar el modelo, se consideraron los índices de modificación (MI), que sugerían: (a) que se permitiera que el ítem 13 de evitación cargue para el factor de aproximación (MI = 269.388); y (b) una elevada covariación entre los ítems 10 de aproximación y 13 de evitación (MI = 375.68). Teniendo esto en consideración, se optó por eliminar el reactivo 13, al igual que los ítems 9, 10, 12, 18, 19 y 23, puesto que obtuvieron cargas estandarizadas menores a .40. Con estas modificaciones, el Modelo 1 obtuvo valores de ajuste adecuados.
Respecto al Modelo 2, inicialmente los valores de ajuste no fueron óptimos. En este caso, los MI sugerían: (a) que se permitiera que el ítem 13 de evitación cognitiva cargue para las escalas de aproximación cognitiva (MI = 385.70) y de aproximación conductual (MI = 368.01); y (b) que se permitiera que el ítem 18 de aproximación conductual cargue para las escalas de evitación cognitiva (MI = 145.79) y de evitación conductual (MI = 116.69). Para evitar complejizar el modelo, y considerando la teoría subyacente, se optó por eliminar los reactivos 13 y 18. También se eliminaron los items 10, 12 y 23 por presentar cargas estandarizadas menores a .40. Así, el modelo reespecificado, compuesto por 20 reactivos, obtuvo índices de bondad de ajuste óptimos.
Finalmente, en lo que respecta al Modelo 3, los índices de bondad de ajuste no resultaron adecuados. Por tanto, a través del examen de los MI, pudieron observarse sugerencias respecto a que algunos reactivos cargaran para más de un factor, por ejemplo: (a) que el ítem 13 de evitación cognitiva cargue para resolución de problemas (MI = 251.47), análisis lógico (MI = 247.83), búsqueda de apoyo/orientación (MI = 245.39) y revalorización positiva (MI = 191.97); (b) que el reactivo 18 de búsqueda de gratificaciones alternativas cargue para aceptación (MI = 182.07) y evitación cognitiva (MI = 159.03); o (c) que se permitiera que el factor de resolución de problemas covariara con la escala de aceptación (MI = 141.71) y los factores de segundo orden de aproximación (MI = 129.98) y evitación (MI = 129.98). Dado el ajuste no satisfactorio y las indicaciones basadas en los MI que complejizarían el modelo, alejándolo de la propuesta teórica de Moos (1993), se procedió a desestimarlo.
Cabe señalar en este punto que, al comparar los valores de AIC, puede apreciarse que son inferiores en los modelos 1 y 2 reespecificados (véase Tabla 2), lo cual evidencia que se trataría de las propuestas más parsimoniosas.
Tabla 2. Análisis factorial confirmatorio de la versión abreviada del Inventario de Respuestas de Afrontamiento. Índices de bondad de ajuste de los modelos rivales
Modelo |
X2 (GL) |
RMSEA (IC 90 %) |
SRMR |
CFI |
TLI |
GFI |
PNFI |
AIC |
Modelo 1: dos dimensiones de aproximación y evitación |
1068.14 (229) |
.09 (.09-.09) |
.09 |
.82 |
.80 |
.92 |
.73 |
66298.19 |
Modelo 1 reespecificado |
650.18 (146) |
.07 (.07-.08) |
.08 |
.92 |
.91 |
.96 |
.78 |
46629.55 |
Modelo 2: cuatro dimensiones según tipo y foco |
2118.01 (246) |
.09 (.08-.09) |
.09 |
.83 |
.81 |
.92 |
.73 |
66138.41 |
Modelo 2 reespecificado |
747.55 (146) |
.06 (.06-.07) |
.07 |
.93 |
.92 |
.97 |
.79 |
51908.43 |
Modelo 3: ocho dimensiones con dos factores de segundo orden |
1520.34 (243) |
.07 (.07-.08) |
.08 |
.89 |
.87 |
.95 |
.76 |
65804.07 |
Nota. GL = grados de libertad.
RMSEA = error de aproximación
de la media cuadrática.
SRMR = residuo cuadrático
medio. CFI = índice de ajuste
comparativo. TLI = índice de Tuckey-Lewis.
GFI = índice de bondad de
ajuste. PNFI = índice de ajuste
normado de parsimonia.
AIC = índice de ajuste de Akaike.
Por otra parte, la validez de constructo se examinó también por medio de las cargas estandarizadas de los reactivos (véase Tabla 3). Como se puede observar, los valores resultaron adecuados en todos los casos, tanto para el Modelo 1 reespecificado como para el Modelo 2 reespecificado.
Tabla 3. Cargas estandarizadas de los reactivos pertenecientes a los constructos latentes de los modelos rivales
Modelo |
Factor |
Ítem |
Λ |
Error |
p |
Modelo 1 |
Aproximación |
1 |
.55 |
.03 |
< .001 |
2 |
.58 |
.03 |
< .001 |
||
3 |
.47 |
.03 |
< .001 |
||
4 |
.65 |
.02 |
< .001 |
||
7 |
.46 |
.03 |
< .001 |
||
8 |
.61 |
.03 |
< .001 |
||
11 |
.41 |
.03 |
< .001 |
||
14 |
.47 |
.03 |
< .001 |
||
15 |
.69 |
.02 |
< .001 |
||
20 |
.47 |
.03 |
< .001 |
||
21 |
.49 |
.03 |
< .001 |
||
Evitación |
5 |
.49 |
.03 |
<.001 |
|
6 |
.54 |
.03 |
<.001 |
||
16 |
.61 |
.03 |
<.001 |
||
17 |
.51 |
.03 |
<.001 |
||
22 |
.68 |
.04 |
<.001 |
||
24 |
.57 |
.03 |
< .001 |
||
Modelo 2 |
Aproximación cognitiva |
1 |
.55 |
.03 |
< .001 |
2 |
.60 |
.03 |
< .001 |
||
7 |
.46 |
.03 |
< .001 |
||
11 |
.41 |
.03 |
< .001 |
||
14 |
.48 |
.03 |
< .001 |
||
20 |
.49 |
.03 |
< .001 |
||
Aproximación conductual |
3 |
.49 |
.03 |
< .001 |
|
4 |
.69 |
.02 |
< .001 |
||
8 |
.65 |
.03 |
< .001 |
||
15 |
.73 |
.02 |
< .001 |
||
21 |
.51 |
.03 |
< .001 |
||
Evitación cognitiva |
5 |
.58 |
.03 |
< .001 |
|
9 |
.52 |
.03 |
< .001 |
||
16 |
.64 |
.03 |
< .001 |
||
17 |
.57 |
.03 |
< .001 |
||
22 |
.68 |
.04 |
< .001 |
||
Evitación conductual |
6 |
.65 |
.03 |
< .001 |
|
19 |
.48 |
.04 |
< .001 |
||
24 |
.69 |
.04 |
< .001 |
Nota. λ = carga estandarizada.
Invarianza según el género
Tanto para el Modelo 1 reespecificado como para el Modelo 2 reespecificado, los indices de bondad de ajuste obtenidos muestran completa invarianza configural, métrica y escalar por medio de la variable género (véase Tabla 4).
Tabla 4. Invarianza según el género de los modelos rivales de la versión abreviada del Inventario de Respuestas de Afrontamiento. Comparación de índices de ajuste
Modelo |
Invarianza |
CFI |
RMSEA |
Modelo 1 |
Configurai |
.914 |
.075 (070-.081) |
Métrica |
.912 |
.074 (069-.079) |
|
Escalar |
.911 |
.070 (065-.075) |
|
Modelo 2 |
Configural |
.929 |
.065 (061-.070) |
Métrica |
.927 |
.065 (060-.070) |
|
Escalar |
.928 |
.061 (057-.066) |
Nota. CFI = índice de ajuste comparativo. RMSEA = error de aproximación de la media cuadrática. IC = intervalo de confianza.
Análisis de diferencias de medias latentes según el género
Mediante el análisis de diferencias de medias latentes, se hallaron diferencias significativas, en favor del género femenino, en todos los factores en los dos modelos rivales, al tomar en cuenta los valores del CR que fueron mayores a 1.96 (Byrne, 2016). En todos los casos, las diferencias fueron en favor del género femenino (véase Tabla 5). Solo las puntuaciones medias de evitación conductual fueron similares para ambos géneros, pero el desvio estándar fue mayor para el género femenino —aqui es preciso señalar que distribuciones bien diferenciadas pueden compartir la misma media (Pfeiffer, 1990)—. Respecto a los tamaños de efecto, se identificaron puntuaciones menores al límite de 0.2, es decir, tamaños de efecto pequeños (Cohen, 1988) en todos los casos.
Tabla 5. Análisis de diferencias de medias latentes según el género
Modelos en contraste |
CR |
M (DE) |
M (DE) |
d |
|
Modelo 1 |
Aproximación |
7.95 |
1.80 (0.55) |
1.73 (0.56) |
0.13 |
Evitación |
6.54 |
1.76 (0.66) |
1.73 (0.67) |
0.05 |
|
Modelo 2 |
Aproximación |
5.95 |
1.87 (0.59) |
1.85 (0.57) |
0.03 |
Aproximación |
7.50 |
1.71(0.67) |
1.59 (0.70) |
0.18 |
|
Evitación |
6.50 |
1.81 (0.71) |
1.74 (0.68) |
0.10 |
|
Evitación |
4.90 |
1.33 (0.80) |
1.33 (0.74) |
0.00 |
|
Nota. CR = razón crítica. M = media. DE = desvío estándar.
d = d de Cohen (1988).
Análisis de la confiabilidad
Finalmente, se calcularon los coeficientes de consistencia interna de los factores correspondientes a los modelos rivales. En el caso del Modelo 1, en el factor de aproximación se obtuvieron valores adecuados en los diferentes coeficientes de consistencia interna calculados (véase Tabla 6), y en el factor de evitación, los valores de alfa de Cronbach y de omega para variables discretas de Green y Yang (2009) resultaron por debajo de .70, mientras que el alfa ordinal y la fórmula alternativa de Green y Yang (2009) presentaron valores adecuados.
Con respecto al Modelo 2, los coeficientes de consistencia interna para los factores de aproximación (cognitiva y conductual) y de evitación (cognitiva) oscilaron entre .62 y .73, y fueron más bajos en el factor de evitación (conductual), probablemente por presentar menor cantidad de reactivos.
Tabla 6. Coeficientes de confiabilidad de la versión abreviada del Inventario de Respuestas de Afrontamiento
Modelo |
α |
α ordinal |
ω₁ |
ω₂ |
|
Modelo 1 |
Aproximación |
.75 |
.80 |
.77 |
.79 |
Evitación |
.67 |
.73 |
.69 |
.70 |
|
Modelo 2 |
Aproximación cognitiva |
.62 |
.66 |
.62 |
.62 |
Aproximación conductual |
.67 |
.72 |
.69 |
.69 |
|
Evitación cognitiva |
.67 |
.73 |
.68 |
.68 |
|
Evitación conductual |
.54 |
.64 |
.57 |
.57 |
Nota. α = alfa (Cronbach, 1951). α ordinal = alfa ordinal (Zumbo et al., 2007), ω₁ = omega categorial (Green & Yang, 2009), ω2 = fórmula alternativa de Green y Yang (2009).
Discusión
En la presente investigación se propuso analizar la estructura interna de la versión abreviada del CRI-A (Moos, 1993; adaptación de Mikulic, 1998), con el fin de contar con un instrumento válido y confiable que permita ahorrar costos y tiempo en su administración y evaluación (Kemper et al., 2019; Monticone et al., 2021). Con tal finalidad, se obtuvieron indices de validez estructural y de fiabilidad del instrumento, se probó la invarianza factorial según el género, y se analizó la existencia de diferencias de medias latentes según el género.
Tomando en cuenta la teoria e investigaciones previas (Blalock & Joiner, 2000; Kirchner et al., 2008; Mikulic & Crespi, 2008; Moos, 1993; Walsh & McGrath, 2000), se procedió a contrastar el ajuste de un modelo bifactorial (aproximación y evitación) —Modelo 1— con dos modelos rivales alternativos: por un lado, un modelo de cuatro factores que, en consonancia con la propuesta teórica de Moos (1993), combina el foco (aproximación y evitación) y el método de afrontamiento (cognitivo y conductual) —Modelo 2—; y, por el otro, un modelo que considera las ocho escalas primarias de afrontamiento con sus correspondientes indicadores, y dos factores de segundo orden (aproximación y evitación) —Modelo 3—.
Los resultados obtenidos muestran que los índices de ajuste incremental, absoluto y parsimonioso son óptimos para dos de los tres modelos examinados luego de su reespecificación: los modelos 1 y 2. El Modelo 3 reveló indices de ajuste incrementales (GFI, CFI, TLI) y absolutos (RMSEA, SRMR) no adecuados, así como cargas estandarizadas no significativas en múltiples ítems, por lo que fue desestimado.
Especificamente, los indices de ajuste GFI, CFI y TLI fueron más altos para el Modelo 2 reespecificado, y los valores de RMSEA y SRMR fueron más bajos también para ese modelo. Por tanto, considerando en conjunto el valor de AIC y los diversos índices de bondad de ajuste, así como el enfoque teórico de afrontamiento propuesto por Moos (1993), puede considerase el Modelo 2 reespecificado como el modelo de medida que mejor capta la estructura de los datos.
Este modelo es similar al marco conceptual utilizado por Moos (1993) en el CRI-A, pero el número de items de la escala total se redujo a 19. De este modo, la versión abreviada presentaría una estructura de cuatro factores: dos que miden un tipo de afrontamiento por aproximación y dos que miden un tipo de afrontamiento por evitación.
Aunque se han utilizado varios sistemas para clasificar los métodos de afrontamiento, a menudo se identifican dos estrategias distintas para lidiar con el estrés: estrategias de aproximación y de evitación (Allen, 2021; Herman-Stahl et al., 1995; Moos, 1993, Phelps & Jarvis, 1994). Estas dos orientaciones comprenden, ambas, intentos cognitivos y conductuales orientados a dominar o resolver el estrés (Moos, 1993).
En este sentido, conceptualmente, y con el fin de evitar una elevada heterogeneidad de las escalas, resulta más plausible el modelo de cuatro factores que reconoce la distinción del método de afrontamiento (cognitivo y conductual), que el modelo de dos factores generales (aproximación y evitación) que agrupa reactivos de las escalas de respuestas cognitivas y conductuales en un mismo factor. Es por esto que los factores del Modelo 2 reespecificado, en consonancia con la propuesta teórica de Moos (1993), incluyen reactivos de las siguientes subescalas:
1. Afrontamiento por aproximación cognitiva: incluye ítems de las subescalas de análisis lógico y revalorización positiva, y remite a los intentos cognitivos de comprender y prepararse mentalmente para enfrentar un estresor, así como la reevaluación positiva del mismo.
2. Afrontamiento por aproximación conductual: comprende reactivos de las subescalas de búsqueda de orientación y apoyo y de resolución de problemas, y refleja los intentos conductuales de buscar información y apoyo para resolver un problema, así como el desarrollo de acciones concretas para hacer frente directamente al mismo o atenuar sus consecuencias.
3. Afrontamiento por evitación cognitiva: incluye reactivos de las subescalas de evitación y de aceptación/ resignación, y consiste en respuestas dirigidas a negar o minimizar la gravedad de un problema o situación, así como a aceptar las circunstancias frente a la percepción de falta de control sobre las mismas.
4. Afrontamiento por evitación conductual: comprende reactivos de la subescala de descarga emocional, y refleja intentos conductuales de reducir la tensión generada por un estresor, que se manifiesta en sentimientos negativos.
Cabe señalar que no se conservaron reactivos de la subescala de búsqueda de gratificaciones alternativas, debido a que presenta bajas saturaciones factoriales.
En este sentido, y tal como se apreció en la adaptación argentina del CRI-A (Mikulic, 1998; Mikulic & Crespi, 2008), así como en la adaptación española (Kirchner et al., 2008) y en la mexicana (Vallejo et al., 2007), los ítems de dicha subescala no mostraron ser buenos indicadores de afrontamiento de evitación cognitiva. Este aspecto se reitera en los resultados obtenidos en el presente estudio, aspecto que amerita nuevas investigaciones que profundicen en las características de la subescala de búsqueda de gratificaciones alternativas. En esta línea, también resulta de interés analizar la pertinencia de los ítems que la conforman como manifestaciones válidas de evitación en el contexto sociocultural en que se analicen. Atendiendo a que los ítems tuvieron cargas factoriales óptimas en los estudios realizados en el país de origen, es probable que factores culturales puedan estar explicando las diferencias encontradas.
En suma, el modelo que presenta mejor ajuste, a partir de sus índices de ajuste y su cercanía con el modelo propuesto por Moos (1993), es el Modelo 2 reespecificado, que incluye cuatro factores: afrontamiento por aproximación cognitiva, afrontamiento por aproximación conductual, afrontamiento por evitación cognitiva y afrontamiento por evitación conductual.
Ahora bien, en el presente trabajo también se indagó respecto a la validez de constructo por medio del análisis de la invarianza según el género, con el cual se encontró invarianza completa en los niveles configural, métrico y escalar —es decir, que la estructura factorial del instrumento es independiente del género de los participantes—. Este enfoque resulta novedoso a la hora de evaluar la evidencia psicométrica del CRI-A, ya que no se hallaron publicaciones que analizaran su estructura considerando este aspecto.
Especificamente, el establecimiento de la invarianza permitió analizar si existían diferencias en el afrontamiento según el género, tomando en cuenta las medias latentes (Byrne, 2016), y los resultados mostraron diferencias significativas en favor del género femenino en todos los casos, aunque con tamaños de efecto inferiores al límite de 0.2 —considerado pequeño—.
Estos resultados coinciden parcialmente, por una parte, con los hallados por Martinez et al. (2019), quienes informaron que los participantes de género femenino presentan mayores puntuaciones en búsqueda de apoyo, mientras que los varones muestran mayor afrontamiento centrado en el significado, que refiere a esfuerzos cognitivos destinados a revalorizar positivamente la situación (Folkman & Moskowitz, 2004); y, por otra parte, con los reportados por Rana et al. (2021), quienes hallaron diferencias significativas en el afrontamiento por aproximación a favor del género femenino.
Si bien estas publicaciones recientes informaron haber hallado diferencias según el género en el afrontamiento (Martinez et al., 2019; Rana et al., 2021), es necesario mencionar que en ambas se utilizan métodos estadísticos tradicionales para estimar la diferencia de medias (p. ej., ANOVA). En contraste con esto, el enfoque de constructos latentes a través de ecuaciones estructurales utilizado en este estudio es más preciso y otorga mayor validez a los resultados al considerar los interceptos y las cargas estandarizadas de los elementos (Müller & Schafer, 2017).
También es importante mencionar que al analizar la confiabilidad de la versión abreviada del CRI-A, los coeficientes de consistencia interna fueron adecuados tanto para los factores del Modelo 1 reespecificado—por encima de .70 en la mayoría de los índices calculados— como para el Modelo 2 reespecificado —los coeficientes alfa ordinal oscilaron entre .64 y .73, con los valores más bajos en el factor de evitación conductual, que también presenta el menor número de reactivos—. Si bien en el Modelo 2 los factores de aproximación cognitiva y evitación conductual tienen valores alfa ordinal y omega más bajos, respecto al Modelo 1, es probable que ello se deba a la disminución del número de reactivos en cada factor, dado que los coeficientes son sensibles a este aspecto (Hair et al., 2014).
Por otro lado, destaca también que los coeficientes alfa de la versión abreviada son, en general, consistentes en magnitud con los coeficientes reportados en la versión original de Moos (1993; 48 items), que oscilan entre .62 y .75, así como con los obtenidos en la adaptación argentina, que varían entre .69 y .72 para las escalas globales (Mikulic & Crespi, 2008). La misma tendencia se aprecia respecto a la consistencia interna de la adaptación española del CRI-A (Kirchner et al., 2008) y en versiones abreviadas del instrumento (Eyles & Bates, 2005; Walsh & McGrath, 2000).
En este sentido, al valorar la consistencia interna del inventario, además de la cantidad de reactivos de cada escala, debe considerarse la naturaleza propia del constructo evaluado. Tal como señalan distintos autores, los índices de consistencia interna tienden a ser más bajos en pruebas que miden respuestas de afrontamiento (Labiano & Correché, 2002; Richaud de Minzi, 2006).
Esto se atribuye a que los sujetos tienden a adaptar sus respuestas a las demandas de la situación que afrontan, por lo que no resulta esperable una elevada estabilidad ni consistencia en el repertorio de estrategias que utilicen frente a cada situación.
Finalmente, respecto a las limitaciones del estudio, en primer lugar, si bien la muestra es lo suficiente grande como para obtener estimaciones confiables, no fue seleccionada con métodos probabilísticos y, por lo tanto, la posibilidad de generalizar los resultados es limitada (Otzen & Manterola, 2017). En segundo lugar, si bien se aportan evidencias psicométricas de la versión abreviada del CRI-A, no se analiza su estabilidad temporal ni se realizan estudios de otros tipos de validez, como la validez convergente y discriminante. Considerando estas limitaciones, se sugiere que futuras líneas de investigación utilicen muestreos probabilísticos e indaguen nuevas evidencias psicométricas.
En síntesis, a partir de los resultados obtenidos en el presente estudio, es posible considerar que la versión abreviada del CRI-A constituye un instrumento válido y fiable para evaluar las respuestas de afrontamiento en población adulta de Buenos Aires. Contar con pruebas breves representa una ventaja tanto en el campo investigativo como en los procesos de evaluación psicológica, en los que habitualmente se requiere utilizar múltiples medidas de evaluación. En dichas situaciones, la consideración sobre la longitud de los instrumentos es especialmente importante, dado que la atención y el interés de las personas evaluadas puede perderse con facilidad al responder a pruebas diversas o extensas.
Asimismo, el aporte de este estudio se encuentra en el uso de modelos de ecuaciones estructurales para la comparación entre grupos (por género) entre variables latentes. La aplicación de estos modelos permitió no solo realizar comparaciones entre los grupos mencionados, sino también verificar las propiedades psicométricas del instrumento para cada uno de ellos. De este modo, los resultados permitieron concluir que las propiedades de medición del CRI-A abreviado se mantienen satisfactoriamente invariantes conforme con los criterios de invarianza configuracional, métrica y escalar entre personas de género femenino y masculino de la ciudad de Buenos Aires y del conurbano Bonaerense.
Referencias
Allen, M. T. (2021). Explorations of avoidance and approach coping and perceived stress with a computer-based avatar task: detrimental effects of resignation and withdrawal. Peer), 9, e11265. https://doi.org/10.7717/ peerj.11265
American Psychological Association [APA]. (2010). Publication Manual of the American Psychological Association (6.a ed.). American Psychological Association.
Aspinwall, L. G., & Taylor, S. E. (1997). A stitch in time: self-regulation and proactive coping. Psychological Bulletin, 121(3), 417-436. https://doi.org/10.1037/0033-2909.121.3.417
Ato, M., López-García, J. J., & Benavente, A. (2013). Un sistema de clasificación de los diseños de investigación en psicología. Anales de Psicología, 29(3), 1038-1059. https://dx.doi.org/10.6018/analesps.293.178511
Bandalos, D. L., & Finney, S. J. (2018). Factor analysis: Exploratory and confirmatory. En G. R. Hancock & R. O. Mueller (Eds.), The reviewer's guide to quantitative methods in the social sciences (pp. 98-122). Routledge.
Biggs, A., Brough, P, & Drummond, S. (2017). Lazarus and Folkman's psychological stress and coping theory. En C. L. Cooper & J. C. Quick (Eds.), The Handbook of Stress and Health: A Guide to Research and Practice (pp. 351-364). Wiley Blackwell. https://psycnet.apa.org/doi/10.1002/9781118993811.ch21
Blalock, J. A., & Joiner, T. E. (2000). Interaction of cognitive avoidance coping and stress in predicting depression/ anxiety. Cognitive Therapy and Research, 24(1), 47-65. https://doi.org/10.1023/A:1005450908245
Brown, T. A. (2006). Confirmatory factor analysis for applied research. Guilford publications.
Byrne, B. M. (2016). Multigroup comparisons: Testing for measurement, structural, and latent mean equivalence. En F. T. L. Leong, D. Bartram, F. M. Cheung, K. F. Geisinger & D. Iliescu (Eds.), The ITC International Handbook of Testing and Assessment (pp. 377-394). Oxford University Press.
Chalmers, R. P (2018). On Misconceptions and the Limited Usefulness of Ordinal Alpha. Educational and psychological measurement, 78(6), 1056-1071. https://doi.org/10.1177/0013164417727036
Cohen, J. (1988). Statistical Power Analysis for the Behavioral Sciences (2.a ed.). Routledge.
Crespo, M., & Labrador, F. (2003). Estrés. Síntesis.
Cronbach, L. J. (1951). Coefficient alpha and the internal structure of tests. Psychometrika, 16(3), 297-334. https://doi.org/10.1007/BF02310555
Davidov, E., Schmidt, P, Billiet, J., & Meuleman, B. (Eds.). (2018). Cross-cultural analysis: Methods and applications (2.a ed.). Routledge.
Eyles, D. J., & Bates, G. W. (2005). Development of a shortened form of the Coping Responses Inventory-Youth with an Australian sample. North American Journal of Psychology, 7(2), 161-170. https://figshare.swinburne.edu.au/ndownloader/files/47534270
Flora, D. B. (2020). Your coefficient alpha is probably wrong, but which coefficient omega is right? A tutorial on using R to obtain better reliability estimates. Advances in Methods and Practices in Psychological Science, 3(4), 484-501. https://doi.org/10.1177/2515245920951747
Folkman, S. (2020). Stress: Appraisal and Coping. En M. D. Gellman & J. R. Turner (Eds.), Encyclopedia of Behavioral Medicine (pp. 1913-1915). Springer.
Folkman, S., & Moskowitz, J. T. (2004). Coping: Pitfalls and promise. Annual Review of Psychology, 55(1), 745-774. http://dx.doi.org/10.1146/annurev.psych.55.090902.141456
Frydenberg, E. (2017). Coping and the Challenge of Resilience. Springer.
Fu, W., Wang, C., Zou, L., Guo, Y., Lu, Z., Yan, S., & Mao, J. (2020). Psychological health, sleep quality, and coping styles to stress facing the COVID-19 in Wuhan, China. Translational Psychiatry, 10(1), 1-9. https://doi.org/10.1038/s41398-020-00913-3
Gadermann, A. M., Guhn, M., & Zumbo, B. D. (2012). Estimating Ordinal Reliability for Likert-Type and Ordinal Item Response Data: A Conceptual, Empirical, and Practical Guide. Practical Assessment, Research & Evaluation, 17, 3. http://files.eric.ed.gov/fulltext/EJ977577.pdf
Gallucci, M., & Jentschke, S. (2021). SEMLj: jamovi SEM Analysis. [jamovi module]. https://semlj.github.io
George, D., & Mallery, P (2011). Descriptive statistics. En S. Hartman (Ed.), SPSS for Windows Step by Step: A Simple Guide and Reference 18.0 Update (pp. 95-104). Pearson.
Gomis-Pomares, A., Villanueva, L., & Basto-Pereira, M. (2022). Psychometric Properties of the Deviant Behavior Variety Scale in Young Spanish Adults. Psicothema, 34(2), 308-315. https://www.psicothema.com/pdf/4750.pdf
Green, S. B., & Yang, Y. (2009). Reliability of summed item scores using structural equation modeling: An alternative to coefficient alpha. Psychometrika, 74(1), 155-167. https://doi.org/10.1007/s11336-008-9099-3
Groth-Marnat, G. (2009). Handbook of Psychological Assessment (5.a ed.). John Wiley & Sons.
Gurvich, C., Thomas, N., Thomas, E. H., Hudaib, A. R., Sood, L., Fabiatos, K., Sutton, K., Isaacs, A., Arunogiri, S., Sharp, G., & Kulkarni, J. (2020). Coping styles and mental health in response to societal changes during the COVID-19 pandemic. The International Journal of Social Psychiatry, 67(5), 540-549. https://doi.org/10.1177/0020764020961790
Hair Jr, J. F., Black, W. C., Babin, B. J., & Anderson, R. E. (2014). Multivariate Data Analysis (7.a ed.). Pearson New International Edition.
Halstead, M., Johnson, S. B., & Cunningham, W. (1993). Measuring coping in adolescents: An application of the Ways of Coping Checklist. Journal of Clinical Child Psychology, 22(3), 337-344. https://doi.org/10.1207/s15374424jccp2203_4
Herman-Stahl, M. A., Stemmler, M., & Petersen, A. C. (1995). Approach and avoidant coping: Implications for adolescent mental health. Journal of Youth and Adolescence, 24(6), 649-665. https://doi.org/10.1007/BF01536949
Hobfoll, S. E. (1989). Conservation of resources: A new attempt at conceptualizing stress. American Psychologist, 44(3), 513-524. https://doi.org/10.1037/0003-066X.443.513
Hoyle, R. H. (1995). The structural equation modeling approach: Basic concepts and fundamental issues. En R. H. Hoyle (Ed.), Structural Equation Modeling: Concepts, Issues, and Applications (pp. 1-15). Sage Publications, Inc.
Hu, L., & Bentler, P. M. (1999). Cutoff criteria for fit indexes in covariance structure analysis: Conventional criteria versus new alternatives. Structural Equation Modeling: A Multidisciplinary Journal, 6(1), 1-55. https://doi.org/10.1080/10705519909540118
Jorgensen, T. D., Pornprasertmanit, S., Schoemann, A. M., Rosseel, Y., Miller, P, Quick, C., Garnier-Villarreal, M., Selig, J., Boulton, A., Preacher, K., Coffman, D., Rhemtulla, M., Robitzsch, A., Enders, C., Arslan, R., Clinton, B., Panko, P, Merkle, E., Chesnut, S., ... Rõnkkõ, M. (2019). semTools: Useful Tools for Structural Equation Modeling. [R Package].https://CRAN.Rproject.org/package=semTools
Kar, N., Kar, B., & Kar, S. (2021). Stress and coping during COVID-19 pandemic: Result of an online survey. Psychiatry Research, 295, 113598. https://doi.org/10.1016/j.psychres.2020.113598
Kemper, C. J., Trapp, S., Kathmann, N., Samuel, D. B., & Ziegler, M. (2019). Short versus long scales in clinical assessment: Exploring the trade-off between resources saved and psychometric quality lost using two measures of obsessive-compulsive symptoms. Assessment, 26(5), 767-782. https://doi.org/10.1177/1073191118810057
Kirchner, T., Forns, M., Muñoz, D., & Pereda, N. (2008). Psychometric properties and dimensional structure of the Spanish version of the Coping Responses Inventory-Adult Form. Psicothema, 20(4), 902-909. https://www.psicothema.com/pdf/3573.pdf
Kyriazos, T. A. (2018). Applied Psychometrics: Sample Size and Sample Power Considerations in Factor Analysis (efa, CFA) and SEM in General. Psychology, 9(8), 2207-2230. https://doi.org/10.4236/psych.2018.98126
Labiano, L. M., & Correché, M. S. (2002). Afrontamiento del estrés. Revista Argentina de Clínica Psicológica, 11(2), 105112. https://psycnet.apa.org/record/2003-07704-002
Lazarus, R. S. (1991). Emotion and Adaptation. Oxford University Press.
Lazarus, R. S., & Folkman, S. (1984). Stress, Appraisal and Coping. Springer.
Mardia, K. V. (1970). Measures of multivariate skewness and kurtosis with applications. Biometrika, 57(3), 519-530. https://doi.org/10.1093/biomet/57.3.519
Martinez, I. M., Meneghel, I., & Peñalver, J. (2019). ¿El género afecta en las estrategias de afrontamiento para mejorar el bienestar y el desempeño académico?. Revista de Psicodidáctica, 24(2), 111-119. https://doi.org/10.1016/j.psicod.2019.01.003
Mikulic, I. M. (1998). Ecoevaluación Psicológica del Exdelincuente en su Ambiente Natural. [Tesis de doctorado no publicada]. Universidad de Belgrano.
Mikulic, I. M., & Crespi, M. C. (2008). Adaptación y Validación del Inventario de Respuestas de Afrontamiento de Moos (CRI-A) para adultos. Anuario de investigaciones, 15, 305-312. https://www.redalyc.org/pdf/3691/369139944030.pdf
Mikulic, I. M., Casullo, G., Radusky, P., & Caballero, R. (2015). Fiabilidad de un sistema de categorias de situaciones estresantes y análisis diferencial en población adulta de Buenos Aires, Argentina. Anuario de Investigaciones, 22, 319-325. https://www.redalyc.org/pdf/3691/369147944033.pdf
Monticone, M., Giordano, A., & Franchignoni, F. (2021). Scale Shortening and Decrease in Measurement Precision: Analysis of the Pain Self-Efficacy Questionnaire and Its Short Forms in an Italian-Speaking Population With Neck Pain Disorders. Physical Therapy & Rehabilitation Journal, 101(6), pzab039. https://doi.org/10.1093/ptj/pzab039
Moos, R. H. (1993). Coping responses Inventory: Adult Form: Professional Manual. Psychological Assessment Resources, Inc.
Müller, P, & Schafer, S. (2017). Latent Mean (Comparison). En J. Matthes, C. S. Davis & R. F. Potter (Eds.), International Encyclopedia of Communication Research Methods (pp. 1-7). Wiley.
Ondé, D., & Alvarado, J. M. (2022). Contribución de los Modelos Factoriales Confirmatorios a la Evaluación de Estructura Interna desde la Perspectiva de la Validez. Revista Iberoamericana de Diagnóstico y Evaluación Psicológica, 5(66), 5-22. https://doi.org/10.21865/RIDEP66.5.01
Otzen, T., & Manterola, C. (2017). Técnicas de muestreo sobre una población a estudio. International Journal of Morphology, 35(1), 227-232. https://doi.org/10.4067/S0717-95022017000100037
Pearlin, L. I., & Schooler, C. (1978). The structure of coping. Journal of health and social behavior, 19(1), 2-21. https://doi.org/10.2307/2136319
Pérez, D. O. (2020). Revisión del concepto de causalidad en el marco del Análisis Factorial Confirmatorio. Revista Iberoamericana de Diagnóstico y Evaluación Psicológica, 1(54), 103-117. https://doi.org/10.21865/RIDEP54.1.09
Pfeiffer, P E. (1990). Variance and Standard Deviation. En P E. Pfeiffer (Ed.), Probability for Applications (pp. 355-370). Springer. https://doi.org/10.1007/978-1-4615-7676-1_19
Phelps, S. B., & Jarvis, PA. (1994). Coping in adolescence: Empirical evidence for a theoretically based approach to assessing coping. Journal of Youth and Adolescence, 23, 359-371. https://doi.org/10.1007/BF01536724
R Core Team. (2021). R: A Language and environment for statistical computing (versión 4.1) [software]. https://cran.r-project.org
Rana, I. A., Bhatti, S. S., Aslam, A. B., Jamshed, A., Ahmad, J., & Shah, A. A. (2021). COVID-19 risk perception and coping mechanisms: Does gender make a difference?. International Journal of Disaster Risk Reduction, 55, 102096. https://doi.org/10.1016/j.ijdrr.2021.102096
Rettie, H., & Daniels, J. (2021). Coping and tolerance of uncertainty: Predictors and mediators of mental health during the COVID-19 pandemic. American Psychologist, 76(3), 427-437. https://doi.org/10.1037/amp0000710
Rhemtulla, M., Brosseau-Liard, P É., & Savalei, V. (2012). When can categorical variables be treated as continuous? A comparison of robust continuous and categorical SEM estimation methods under suboptimal conditions. Psychological Methods, 17(3), 354-373. https://doi.org/10.1037/a0029315
Richaud de Minzi, M. C. (2006). Evaluación del afrontamiento en niños de 8 a 12 años. Revista Mexicana de Psicología, 23(2), 193-201. https://ri.conicet.gov.ar/bitstream/handle/11336/102464/CONICET_Digital_Nro.145f6350-a05b-4211-b5c1-bec9a567a5ad_B.pdf?sequence=5&isAllowed=y
Rodriguez, M. N., & Ruiz, M. A. (2008). Atenuación de la asimetría y de la curtosis de las puntuaciones observadas mediante transformaciones de variables: incidencia sobre la estructura factorial. Psicológica: Revista de metodología y psicología experimental, 29(2), 205-227. https://www.uv.es/psicologica/articulos2.08/6RODRIGUEZ.pdf
Rosseel, Y. (2012). Lavaan: An R Package for Structural Equation Modeling. Journal of Statistical Software, 48(2), 1-36. https://doi.org/10.18637/jss.v048.i02
Sellbom, M., & Tellegen, A. (2019). Factor analysis in psychological assessment research: Common pitfalls and recommendations. Psychological Assessment, 31(12), 1428-1441. https://doi.org/10.1037/pas0000623
Senado y Cámara de Diputados de la Nación Argentina. (2000). Protección de los datos personales. Ley 25.326. https://www.oas.org/juridico/pdfs/arg_ley25326.pdf
Selye, H. (2013). Stress in Health and Disease. Butterworth-Heinemann.
Stanislawski, K. (2019). The coping circumplex model: an integrative model of the structure of coping with stress. Frontiers in Psychology, 10, 694. https://doi.org/10.3389/fpsyg.2019.00694
The jamovi project. (2022). jamovi (versión 2.3) [software]. https://www.jamovi.org
Vallejo, A., Osorno, J., Mazadiego, T., & Segura, B. (2007). Evaluación psicométrica del Inventario de Respuestas de Afrontamiento de Moos (CRI-Y Form), en una muestra mexicana. Revista de Educación y Desarrollo, 7, 35-40. https://www.cucs.udg.mx/revistas/edu_desarrollo/anteriores/7/007_Vallejo.pdf
Van de Schoot, R., Lugtig, P., & Hox, J. (2012). A checklist for testing measurement invariance. European Journal of Developmental Psychology, 9(4), 486-492. https://doi.org/10.1080/17405629.2012.686740
Walsh, J. J., & McGrath, F. P. (2000). Identity, coping style, and health behaviour among first generation Irish immigrants in England. Psychology and Health, 15(4), 467-482. https://doi.org/10.1080/08870440008402007
Wang, S., Chen, C. C., Dai, C. L., & Richardson, G. B. (2018). A call for, and beginner's guide to, measurement invariance testing in evolutionary psychology. Evolutionary Psychological Science, 4(2), 166-178. https://doi.org/10.1007/s40806-017-0125-5
World Medical Association. (2013). Declaration of Helsinki. Ethical principles for medical research involving human subjects. JAMA Network,310(20), 2191-2194. https://doi.org/10.1001/jama.2013.281053
Zumbo, B. D., Gadermann, A. M., Zeisser, C. (2007). Ordinal versions of coefficients alpha and theta for Likert rating scales. Journal of Modern Applied Statistical Methods, 6(1), 21-29. https://doi.org/10.22237/jmasm/1177992180