10.14718/ACP.2025.28.20


Article


Cognitive Changes and Sexual and Reproductive Health in Uruguayan Adolescents: A Longitudinal Study

Cambios cognitivos y salud sexual y reproductiva en adolescentes uruguayos: estudio longitudinal



Gabriela Fernández-Theoduloz 1*
Juan Carlos Godoy 2
Alejandra López-Gómez 3

1 Instituto de Psicología Clínica, Facultad de Psicología, Universidad de la República Montevideo, Uruguay
0000-0002-9225-060X

2 Laboratorio de Psicología, Instituto de Investigaciones Psicológicas (IIPsi), Facultad de Psicología, Universidad Nacional de Córdoba (UNC) - Consejo Nacional de Investigaciones Científicas y Técnicas (CONICET) Córdoba, Argentina
0000-0002-1622-1647

3 Instituto de Psicología de la Salud, Facultad de Psicología, Universidad de la República  Montevideo, Uruguay
0000-0001-9975-7297

* Corresponding author: Tristan Narvaja 1674, Montevideo, Uruguay. ZIP Code 11200. Telephone: (598) 24008555-300. Fax: (598) 24008640.
gfernandez@psico.edu.uy


Received: January 22, 2024
Reviewed: May 19, 2025
Accepted: August 04, 2025


How to cite [APA]: Fernández-Theoduloz, G., Godoy, J. C., & López-Gómez , A. (2025). Cognitive Changes and Sexual and Reproductive Health in Uruguayan Adolescents: A Longitudinal Study. Acta Colombiana de Psicología, 28, 1-19. https://doi.org/10.14718/ACP.2025.28.20



Abstract

Adolescence is marked by increased risk-taking. Dual Systems Models explain this stage as an imbalance between the socioemotional reward and cognitive control systems. This study applies such models to explore neurocognitive aspects of contraceptive method (CM) use in adolescents. We analyzed trajectories of risk propensity, self-regulation, and consideration of future consequences (CFC), controlling for sex and socioeconomic status, in a sample of adolescents from Montevideo (Uruguay). A simple prospective longitudinal panel design was used with two time points, T1 (314 cases) and T2 (49 cases), separated by 20 months. Behavioral tasks (BART, Stoplight, Tower of London), the CFC scale, and questionnaires were used. A decrease in risk propensity and immediacy was observed, aligning with the inverted U-shaped development of the reward system. No changes were found in self-regulation or CFC-Future, consistent with models proposing a plateau in the development of the cognitive control system. Decreased risk propensity was associated with lower use of ineffective CM at last sexual intercourse. These findings highlight the importance of understanding neurocognitive development and its implications for adolescent sexual and reproductive health, particularly in Global South contexts.

Keywords: Adolescent development, sexual behavior, risk taking, cognitive control, contraception, health issues, reproductive health.


Resumen

La adolescencia se caracteriza por una mayor toma de riesgos. Los modelos de sistemas duales explican esta etapa como un desequilibrio entre los sistemas de recompensa socioemocional y de control cognitivo. Este estudio aplica dichos modelos para explorar aspectos neurocognitivos del uso de métodos anticonceptivos (MAC) en adolescentes. Se analizaron las trayectorias de propensión al riesgo, autorregulación y consideración de consecuencias futuras (CCF), teniendo en cuenta el sexo y el nivel socioeconómico, en una muestra de adolescentes de Montevideo (Uruguay). Se empleó un diseño longitudinal prospectivo de panel con dos mediciones separadas por 20 meses: T1 (314 casos) y T2 (49 casos). Se utilizaron tareas conductuales (BART, Stoplight, Tower of London), la escala de CCF y cuestionarios. Se observaron disminuciones en la propensión al riesgo y en la inmediatez, lo que coincide con el patrón de desarrollo en U invertida del sistema de recompensa. No se hallaron cambios en la autorregulación ni en la CCF-Futuro, lo cual es congruente con modelos que plantean una meseta en el desarrollo del sistema de control cognitivo. La disminución de la propensión al riesgo se asoció con un menor uso de MAC ineficaces en la última relación sexual. Los resultados subrayan la importancia de comprender el desarrollo neurocognitivo y su impacto en la salud sexual y reproductiva durante la adolescencia, especialmente en contextos del Sur Global.

Palabras clave: Desarrollo adolescente, comportamientos sexuales, toma de riesgos, control cognitivo; contracepción, salud, salud reproductiva.


Introduction

Adolescence, typically defined as ages 10 to 19 (recently extended to 24), is a pivotal stage characterized by increased autonomy and exploration (Casey et al., 2008; Sawyer et al., 2018). Although generally healthy (Patton et al., 2017), it is also marked by heightened risk-taking (Downs & Fischhoff, 2009), which contributes to disproportionate morbidity and mortality rates (Harden et al., 2017). To explain adolescent decision-making, models such as the Dual Systems Model have been widely used, especially in the context of risk behaviors (Blakemore & Robbins, 2012; Shulman et al., 2016; Steinberg, 2008).

These models propose an imbalance between a rapidly developing socioemotional reward system and a slower-maturing cognitive control system. The reward system, involving striatal and limbic circuits, peaks in mid-adolescence and follows a nonlinear trajectory. In contrast, the cognitive control system, primarily based in the lateral prefrontal cortex, develops gradually and stabilizes during late adolescence or early adulthood (Adolphs, 2003; Luna & Wright, 2016; Miller & Gizer, 2024; Steinberg, 2010).

Adolescence, characterized by heightened sexual exploration, entails normative aspects of sexuality, although certain behaviors pose health risks, such as sexually transmitted infections (STIs) and unintended pregnancy (Khurana et al., 2012; Raffaelli & Crockett, 2003). Sexual risk behaviors surge during adolescence, including early initiation of intercourse, inconsistent contraceptive method (CM) use, multiple partners, and substance use prior to sexual intercourse (Crandall et al., 2017). While male condom use has risen, unmet contraceptive needs persist among millions of young women (O'Sullivan & Thompson, 2014; Prata & Weidert, 2020). Inconsistent CM use prevails globally, necessitating targeted interventions (Chandra-Mouli & Akwara, 2020; Córdova Pozo et al., 2015; Dir et al., 2014; Reina & Castelo-Branco, 2018). This study explores adolescent sexual behaviors through psychological constructs tied to decision-making. Based on the Dual Systems Model, several factors have been linked to adolescent risk-taking. In this research, we addressed risk propensity, self-regulation, and consideration of future consequences (CFC).

Risk-taking, a behavior exposing individuals to potential harm, exhibits an inverted U-shaped pattern across ages (Duell et al., 2018). In our study, risk propensity  was evaluated using the Stoplight Task and the Balloon Analogue Risk Task (BART). Wasserman et al. (2017) associated risk propensity, measured by the Stoplight Task, with adolescent sexual activity. Derefinko et al. (2014) linked BART performance to an increased number of sexual partners, while Lejuez et al. (2007) found associations with various sexual risk behaviors. BART's predictive utility for health risk behaviors, especially among adolescents, has been emphasized (Kim-Spoon et al., 2016).

Self-regulation, encompassing the ability to monitor, inhibit, and adapt behaviors, evolves from infancy to adolescence, maturing through the development of symbolic representations and executive functions (EFs; Arain et al., 2013; Casey, 2015; Crockett et al., 2006). Late adolescence is characterized by enhanced response inhibition, planning, strategic problem-solving, and cognitive flexibility, along with improved gratification delay toward long-term goals (Albert & Steinberg, 2011; Crandall et al., 2018). Our study used the Tower of London (ToL) to measure self-regulation, revealing its predictive value for risk behaviors (Demidenko et al., 2019; Griffin et al., 2011). This task measures what is called "cold" EFs. Within the domain of cold EFs, attentional control, problem-solving, and cognitive flexibility, among others, are included. While in hot EFs, the following domains can be included: emotion regulation, reward processing, affective decision-making, and social cognition, etc., and any cold EF that has some emotional or motivational characteristic (Salehinejad et al., 2023).

Low self-regulation correlates with increased risky sexual behaviors among adolescents and adults (Crockett et al., 2006; Demidenko et al., 2019; Knowles et al., 2020). Higher self-regulation aligns with delayed sexual initiation, while lower self-regulation associates with earlier onset of sexual intercourse (Magnusson et al., 2019; Moilanen, 2015). Wasserman et al. (2017) demonstrated that cognitive control, assessed through the ToL, predicts sexual intercourse, making it a valuable tool for predicting sexual risk behaviors. Additionally, lower self-regulation links to multiple sexual partners and sex under the influence of substances (Crandall et al., 2018; Kalina et al., 2017; Moilanen, 2015; Raffaelli & Crockett, 2003). Research suggests that higher self-regulation predicts less unprotected sex, while self-regulatory problems predict greater involvement in unprotected sex (Kogan et al., 2011; Moilanen & Manuel, 2018; Quinn & Fromme, 2010). Developmentally, early adolescence self-regulation scores correlate with mid-adolescence sexual risk behaviors (Raffaelli & Crockett, 2003). High self-regulation at age 13, along with growth from ages 13-17, predicts fewer risky sexual behaviors at age 18, extending its negative predictive value even past age 21 (Crandall et al., 2018; Quinn & Fromme, 2010). Notably, low self-regulation at age 13 alone does not definitively determine later sexual behavior; adequate self-regulation development during adolescence diminishes the likelihood of engaging in risky sexual behaviors (Crandall et al., 2018).

Future orientation, reflecting an individual's tendency to prioritize long-term outcomes, holds significance across various life domains, including health (Appleby et al., 2005; Carmi & Bartal, 2014). Difficulty projecting into the future, favoring immediate results, is associated with risky sexual behaviors, particularly among adolescents with low CFC (Gailliot & Baumeister, 2007; Mohammed & Marhefka, 2020). A positive correlation exists between high CFC scores and increased condom use, suggesting a proactive approach toward mitigating risks (Burns & Dillon, 2005; Guillon et al., 2019). Conversely, low future orientation in adolescents may lead to a lack of motivation for condom use, reflecting a less optimistic view of the future (Knowles et al., 2020). Research involving men who have sex with men indicates that elevated CFC levels predict a reduced likelihood of engaging in unprotected sex (Appleby et al., 2005). Developmental differences are evident, with younger individuals facing challenges in anticipating future implications due to lower levels of development of the cognitive control system, as proposed by the Dual Systems Model (Alvarez-Núñez & Vásquez-Echeverría, 2020; Cauffman & Steinberg, 2000). Adolescents, influenced by immediate reward preferences, may prioritize short-term gains despite potential long-term losses (Crone et al., 2016). Longitudinally, future expectations are linked to consistent CM use (Knowles et al., 2020).

These psychological variables serve as robust predictors of sexual risk behaviors, underscoring the need for a nuanced comprehension of their developmental trajectories during adolescence to inform targeted public health interventions. This is especially relevant, given that this period is presented as a second window of opportunity, during which interventions to establish healthy patterns of behavior and promote social and emotional learning would enhance positive developmental trajectories (UNICEF, 2017). Despite documented associations between these psychological factors and risky sexual behaviors, longitudinal inquiries grounded in the Dual Systems Model perspective remain scarce. Longitudinal studies are pivotal for unraveling the temporal evolution of risk behaviors and delineating the direct, indirect, and interactive effects of diverse risk factors (Ashenhurst et al., 2015; D'Amico et al., 2014). Furthermore, our investigation contributes to the theoretical landscape of adolescent sexual and reproductive health (SRH), synthesizing cognitive science constructs and methodologies. This approach aids in comprehending adolescents' trajectories of sexual risk behaviors (Speizer et al., 2017), accentuating the imperative of incorporating longitudinal designs in SRH research (van de Bongardt et al., 2014).

Crucially, this study unfolds in Uruguay, a Latin American country. Notably, much of the existing research in development, including adolescence studies, originates from Western, Educated, Industrialized, Rich, and Democratic (WEIRD) societies, with a concentration in North America and Europe (Banati & Lansford, 2018; Henrich, 2020; Henrich et al., 2010a, 2010b). This diverse sample from Montevideo, encompassing all socioeconomic statuses (SES), provides a contextually grounded understanding and addresses the underrepresentation of evidence from the Global South in scientific discourse (Fernández-Theoduloz, 2024; Liverpool, 2021).

In this study, we aimed to analyze the effects of the development of risk propensity, self-regulation, and CFC on CM use, controlling for sex and SES, among adolescents aged 15-20 years in the city of Montevideo (Uruguay). We aimed to: (1) describe changes in risk propensity, self-regulation, and CFC scores between T1 and T2; (2) explore whether the changes between T1 and T2 on those variables influence CM use at T2. Our hypothesis were: 1) risk propensity indicators, immediacy scores, and planning errors are expected to decrease between T1 and T2 ; 2) self-regulation indicators and future consideration scores are anticipated to increase between T and T2; 3) a decrease in risk propensity and immediacy indicators is associated with a lower likelihood of inconsistent contraceptive use, a lower number of sexual partners, and a lower likelihood of early initiation of sexual relationships at T2; 4) an increase in self-regulation indicators and CFC is associated with a lower likelihood of inconsistent contraceptive use, a lower number of sexual partners, and a lower likelihood of early initiation of sexual relationships at T2.

Methods

Design

In this study, we used a simple prospective longitudinal panel design (De Vaus, 2001). This design allows to learn how development generates changes in the study variables and the corresponding changes in behaviors (Díaz de Rada, 2007). It should be noted that longitudinal designs are particularly recommended for adolescent development research (Shek & Ng, 2016).

Participants

The target population corresponds to adolescents from Montevideo (Uruguay) of ages ranging from 15 to 20. The sample was composed of two subsamples: a) probability sampling of households with at least one adolescent (provided by the National Institute of Statistics); b) non-governmental organizations, high schools, and intentional cases. The final sample is non-probabilistic. Data were collected from the same sample in two time periods, 20 months apart. T1 was from September to December 2018, while T2 was from May to July 2020. The final sample at T1 consisted of 314 cases (after elimination of incomplete cases and outliers, 76 cases) (Mage = 16.85, SD = ±1.49; 182 women). The same sample was contacted for T2, and the final sample consisted of 49 adolescents after eliminating three cases with extreme values (Mage = 18.51, SD = ±1.45; 35 women). Participants were assessed with the same instruments at T1 and T2 . The total attrition between both waves was 84.4%. This considerable loss is mainly attributed to the COVID-19 pandemic and associated restrictions in mobility and face-to-face interactions, which significantly hindered participant tracking and recontacting (D'Amico et al., 2014; Fernández-Theoduloz et al., 2024; GACH, 2020).

Procedure

For data collection, we employed a battery of behavioral tasks, programmed in PsychoPy 1.7/1.8 (Peirce, 2007, 2008), and HTML-programmed questionnaires. Data were acquired using a computer-assisted self-interview (CASI) system on laptops, ensuring automated, confidential, and encrypted data storage without researcher intervention. The assessment battery included three behavioral tasks—BART, Stoplight, and ToL—the CFC scale, a sociodemographic questionnaire, and a contraceptive use questionnaire. We also administered the Wechsler Abbreviated Intelligence Scale (WASI) reasoning matrix as a control measure. The order of administration was WASI, CFC, ToL, BART, Stoplight, sociodemographic questionnaire, and the contraceptive use questionnaire. The entire procedure took approximately 60 minutes.

Instruments

The behavioral tasks were adapted from a battery used in several countries by Steinberg et al. (2017), including Colombia. This battery was computerized and in Spanish. Also, it was used in adolescents.

The BART assesses risk propensity: participants decide how much air to inflate a balloon on the screen, with more inflation yielding higher points but also risking the balloon bursting and losing points. Risk propensity is measured by the inflation ratio, calculated for each trial (Lejuez et al., 2002). Risk propensity, as measured by the BART, has been found to correlate with real-life risk behaviors such as alcohol consumption, substance use, and non-use of seat belts (Ashenhurst et al., 2014; Defoe et al., 2015; Fernie et al., 2010; Lejuez et al., 2003).

The Stoplight measures risk propensity by assessing decisions made while driving a virtual car through traffic lights. When approaching an intersection, the light will turn yellow, and the participant must decide whether to stop the car and wait for the light to turn red, then green (with a small penalty), or try to cross (no penalty). If the participant decides to cross, there is a chance of crashing with another vehicle (major penalty); if they cross and are not hit, no time is lost. For each trial, the subject's choice is categorized into "braked" and "did not brake." The Stoplight variable is calculated using the proportion of "did not brake" in the total trials for each subject. The variable derived from the proportion of trials where the participant chose not to brake (Silva et al., 2016; Steinberg et al., 2008; Steinberg et al., 2017).

The ToL task assesses self-regulation by evaluating planning, problem-solving, and cognitive-behavioral control (Shallice, 1982). In this task, two images are presented, each with three disks distributed across three stacks. The first image shows the target formation of the disks, and the second shows the starting point. The participant must move the disks from the starting position to the target formation in as few moves as possible. Scores were calculated based on reaction time, mean number of extra moves, and the ratio between planning time and resolution time (Albert & Steinberg, 2011; Luciana et al., 2009; Newman et al., 2009; Sergeant et al., 2002).

The CFC scale assesses CFC, with separate scores for CFC-Immediacy and CFC-Future. The Spanish version of the scale was validated in a sample of university students in Uruguay (CFC-12) and in the population of Montevideo (CFC-14) (Vásquez-Echeverría et al., 2018; Vásquez Echeverría et al., 2017). The Uruguayan version of the scale was reliable and presented a two-factor structure (Vásquez-Echeverría et al., 2018). In this study, the CFC-Immediacy (a = .79) and CFC-Future (a = .74) scores are used separately. Following the recommendations of the authors of the Spanish version, item 5 was removed from the score calculation because it presented severe psychometric problems in this version, as in other Latin-language versions of the scale (in Portuguese: Vásquez-Echeverría et al., 2015). In this study, internal consistency was calculated for the CFC scale. At T1, Cronbach's alpha was .590 for the Future subscale and .700 for the Immediacy subscale. At T2, these values were .803 and .787, respectively. These values are comparable to those reported in other international studies (e.g., Acuña et al., 2020; Akirmak & Oral, 2023).

The WASI is a measure of nonverbal intellectual ability (control measure). In this instrument, the participant sees a matrix or an incomplete series and selects an option that completes it (Duell et al., 2016; Steinberg et al., 2017).

The sociodemographic questionnaire collected information on sex, age, and socioeconomic status (Perera & Cazulo, 2016).

The contraceptive use questionnaire has several questions about the use of contraception. Some of the questions and response type/scales were: "Did you use any contraceptive method (CM) in your first sexual intercourse/during the last 6 months/in your last sexual intercourse?" Response options were "yes" or "no" for each situation. Using this information, we constructed a variable to address the inconsistency in CM use with two levels: "Always used CM" and "Sometimes used CM." We have also asked about which CM was used. With this information, we have calculated the CM ineffectiveness (first, 6 months, last sexual intercourse, and mean) using the values proposed by WHO et al. (2011). It ranges from .1 to 85, where .1 corresponds to implants and 85 to non-use of CM. A higher score indicates greater ineffectiveness. Participants answered all questions and performed the task in Spanish.

Ethics Approval

This study was conducted in accordance with the principles of the Declaration of Helsinki and Decree 158/019, which regulates Human Subject Research within the national territory. Approval was granted by the Research Ethics Committee of the School of Psychology, Universidad de la República, Uruguay (No. 191175-000416-17). According to this Decree, this research represents a low risk to participants. The researchers obtained written consent from participants, their parents, or guardians for minor-aged adolescents. This study is part of a larger project; some results are reported in Fernández-Theoduloz et al. (2023).

Data Analysis

We used RStudio for data processing and analysis. First, incomplete cases (those with no responses to the sociodemographic and contraception-related questions) were excluded. Following the procedure proposed by Duell et al. (2018), cases with extreme values for the WASI were also eliminated (1.5 times interquartile range (q3-q1)). To center the variables, they were transformed to z scores. This removes the correlations between the intercept and the slopes, as well as those between the model terms. It also helps to avoid potential multicollinearity in the model. Furthermore, this procedure allows the estimates to be interpreted more simply, facilitating their link to the theory (Cohen et al., 2003).

Regression models, which are detailed below, were fitted for each specific objective. The stepwise method was used to select the most appropriate model for each response variable. Within the stepwise method, the forward direction strategy was used (Fox, 2016). There are several parameters to determine which model is best from a set of models. In this study, the AIC (Akaike information criterion) method was used, which tends to be more restrictive. The most parsimonious model will be the one with the best fit using the fewest predictors. The model with the lowest AIC was selected (Cohen et al., 2003; Fox, 2016).

After model selection, ANOVAs were performed to test whether the model terms were significant. In this case, ANOVA allows analysis of the variance/deviance of the model compared to a full model (Fox, 2016, 2019).

For interactions between quantitative and categorical variables, we used the Istrends function in RStudio to estimate and compare model slopes at the .95 confidence level, using the Tukey HSD method (Lenth, 2016). When an interaction between two categorical variables is present, post-hoc tests are performed using the Tukey HSD test.

To determine whether there were changes between T1 and T2 in the variables of interest (Aim 1), we fitted seven linear mixed-effects models with a subject random effect for each variable from the behavioral tasks and the CFC (Arnau & Bono, 2008; Fox, 2016). The predictor variables were Time (1 and 2), sex, and SES. The first model (M1) only had the variable Time (1 and 2). The main effects of SES and sex were added separately (M2: SES; M3: sex). Model 4 included all main effects (Time, SES, and sex). Models 5 and 6 included the interaction terms (M5: Time * SES; M6: Time * sex). Finally, model 7 included both interaction terms (Time * SES and Time * sex).

To answer our objective of investigating whether a change in the cognitive variables influenced CM use (Aim 2), an expected change (EC) variable was generated for each task and the CFC was coded as "Yes" and "No." This variable was constructed following the theoretical background of the Dual Systems Model. For the risk-proneness variables (Stoplight and BART), T2 was expected to be lower than T2; the same was expected for EM (ToL) and CFC-I. Therefore, if a participant scored lower in T2 than in T1, the expected change was coded as "Yes." For RT and RPT/RT (ToL) and CFC-F, T2 was expected to be higher than T1. In this case, if the score was higher in T2 , it was coded as "Yes." In the models, the reference level for this variable is "Yes." We fitted multiple binomial logistic regressions (for dichotomous responses) and multiple linear regressions (for interval responses). As for the previous aim, seven models were fitted with the EC variable, sex, and SES. In the results section, models with lower AIC are reported.

Results

Descriptive Results

At T1, 168 participants had sexual intercourse. From the sample that participated in T2, 30 participants had had sexual intercourse. Of the 168 participants who had had sexual intercourse at T1, 108 had used a condom at last intercourse; while at T2, of the 30 participants who had had sexual intercourse, 20 used a condom. At T1, 137 participants reported having always used some type of CM, while at T2, 22 participants reported so. Descriptive results for sociodemographic characteristics, sexual behavior, and cognitive measures at T1 and T2 are presented below. To facilitate interpretation, the information is organized in three separate tables.

Table 1 presents the sociodemographic characteristics of participants at T1 (n = 168) and T2 (n = 49). A higher proportion of females is observed at both time points, increasing from 55.95% at T1 to 71.43% at T2. Most participants belonged to the medium socioeconomic status group in both waves. Regarding race, the majority identified as white, increasing from 62.50% at T1 to 83.67% at T2.

Table 1. Sociodemographic Characteristics at T1 and T2

Variable

T (n = 168)

T2 (n = 49)

Sex

   

Female (%)

94 (55.95 %)

35 (71.43 %)

Male (%)

74 (44.04 %)

14 (28.57 %)

SES

 

Low (%)

33 (19.64 %)

7 (14.29 %)

Medium (%)

104 (61.90 %)

30(61.22 %)

High (%)

31 (18.45 %)

12 (24.49 %)

Race

 

Black/Afro (%)

20(11.90 %)

2(4.08 %)

Indigenous (%)

23 (13.69 %)

5 (10.20 %)

White (%)

105 (62.50 %)

41 (83.67 %)

Other (%)

20(11.90 %)

1 (2.05 %)


Table 2 displays the reported sexual behavior variables. A decrease in participants reporting sexual intercourse before age 15 was observed (fro m 32.50% at T1 to 8.16% at T2). The average number of sexual partners in the last three months also decreased from 1.31 to 1.00. Condom use at last intercourse declined from 64.29% at T1 to 40.81% at T2.

Table 2. Sexual Behavior Variables at T1 and T2

Variable

T1 (n = 168)

T2 (n = 49)

Sexual intercourse before age 15 (%)

52 (32.50 %)

4 (8.16 %)

Sexual partners last 3 months (M, SD)

1.31 (2.15)

1.00 (.69)

Condom use at last intercourse (%)

108 (64.29 %)

20 (40.81 %)

Inconsistent use of CM (%)

31 (18.45 %)

8 (16.33 %)


Table 3 shows the outcomes from behavioral tasks and self-report scales. In the Stoplight task, risk-taking behavior decreased from .29 at T1 to .16 at T2 . On the ToL task, reaction time increased from 6.23 to 8.53 seconds, indicating more deliberative problem-solving. On the CFC scale, future orientation scores increased from 4.64 to 4.86, while immediacy scores decreased from 3.55 to 2.83, suggesting greater future orientation at T2.

Table 3.  Behavioral Tasks and Scale Scores at T1 and T2

Measure

T1 (Mean ± SD)

T2 (Mean ± SD)

WASI

24.29 ± 4.66

27.00 ± 2.87

Stoplight

.29 ± .19

.16 ± .15

BART

.68 ± .13

.65 ± .13

ToL - EM

2.33 ± 1.02

1.88 ± 1.04

ToL - CI_RT

6.23 ± 3.64

8.53 ± 6.33

ToL - RTP/TR

.26 ± .09

.32 ± .12

CFC-Future

4.64 ± 1.00

4.86 ± 1.07

CFC-Immediacy

3.55 ± 1.25

2.83 ± 1.12

Longitudinal Changes in Cognitive Variables


In line with theoretical models of adolescent development and behavioral and neural antecedents, we expected indicators of risk propensity, the CFC-I score, and ToL planning errors (EM) to decrease between T1 and T2. On the other hand, we expected that self-regulation indicators (RT and RPT/RT) and the CFC-F score would increase.

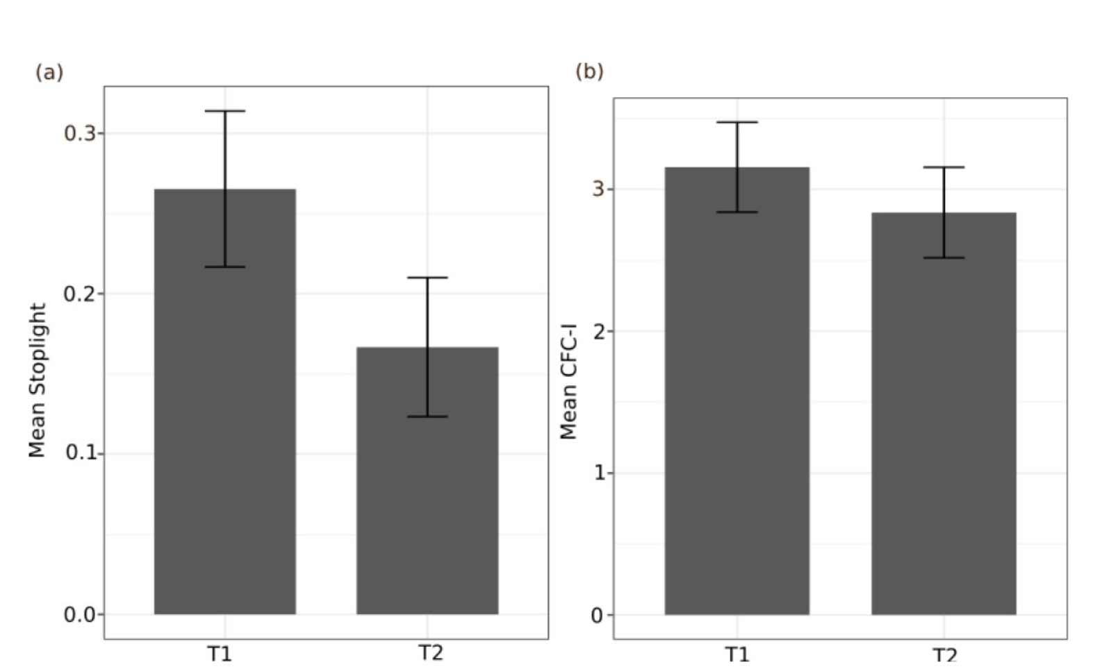
For risk propensity and CFC-I, in Models with main effect of Time only, we observed a decrease between T1 and T2 in: Stoplight (coeff. = -.097, SE = .022; F(1, 48) = 20.474, p < .001) y CFC-I (coeff. = -.336, SE = .156; F(1,47.405) = 4.656, p=.036; Figure 1). The main effects of BART and self-regulation indicators were not significant.

Figure 1.  Difference between T1 and T2 for Risk Propensity and CFC-I

Note. Difference between T1 and T2 for risk propensity (a) and CFC-I (b). Error bars denote SE ± 2.


Associations of Cognitive Changes and the Use of Contraceptive Methods

Based on developmental patterns during adolescence and their relationship with risk behaviors, we were interested in whether decreases in indicators of risk propensity and CFC-I score were associated with a higher probability of consistently using CMs at T2. We also expected that an increase in indicators of self-regulation and CFC would be associated with a lower probability of inconsistent contraceptive use.

We observed a main effect of the decrease in BART scores on the ineffectiveness of the CM used in the last sexual intercourse (Model 6, which includes the variable of interest, sex, and their interaction). Participants who showed a decrease in BART scores present lower ineffectiveness of the CM used in the last sexual intercourse (the used more effective methods) (F(1, 26) = 7.533, p = .011; Table 4, Figure 2a). Similarly, we observed a negative effect of decreasing Stoplight score on the ineffectiveness of the CM used in the last sexual intercourse (Model 6, Table 4); participants who showed a decrease in Stoplight score present lower scores on CM ineffectiveness (F(1, 26) = 7.056, p = .013; Figure 2b). Then, the effects of change were observed with the risk propensity variables on the ineffectiveness of the CM used in the last sexual intercourse. Participants who showed a decrease in these scores present lower ineffectiveness of the CM (higher effectiveness) used in the last sexual intercourse. The remaining variables were not significant.

Table 4.  Models of BART and Stoplight Decline for CM Ineffectiveness at Last Intercourse

 

Model 6

Model 6

(Intercept)

49.000 *** (9.776)

49.000 *** (10.101)

Decrease_BART_YES

-36.000 * (13.116)

 

Sex_female

-26.571 * (12.255)

-39.000 * (14.286)

Decrease_BART_YES: Sex_female

23.321 (15.936)

 

Decrease_Stoplight_Yes

 

-36.000 * (13.553)

Decrease_Stoplight_Yes: Sex_female

 

40.912 * (17.599)

N

30

30

R2

.337

.292

Model coefficients (standard error) *** p < .001; ** p < .01; * p < .05.


Figure 2.  Mean Infectiveness of CM According to the Decrease in Risk Propensity

Note. (a) Mean CM ineffectiveness score of last sexual intercourse according to the decrease in BART score. (b) Mean CM ineffectiveness score of last sexual intercourse according to decrease in Stoplight score. Error bars denote SE ± 2.


Discussion

In this study, we aimed to describe changes in risk propensity, self-regulation, and CFC scores between T1 and T2 in a sample of Uruguayan adolescents (15-20 years old). We also aimed to explore whether changes in those variables between T1 and T2 were associated with CM use at T2.

Our findings are consistent with the Dual Systems Models, which propose that during adolescence, risk-taking behaviors are shaped by the interaction between a hyper-responsive socioemotional system and a gradually maturing cognitive control system (Duell et al., 2016; Shulman et al., 2016). The observed decrease in risk propensity and immediacy between T1 and T2 aligns with the expected decline in socioemotional reactivity during late adolescence.

Interestingly, we did not observe significant changes in self-regulatory variables measured through the ToL. This may reflect the plateau in the development of cold EFs after mid-adolescence, as suggested by Luciana and Collins (2012). Moreover, as these tasks lack emotional salience, they may not capture context-sensitive regulation relevant to sexual decision-making (Ogilvie et al., 2020; Prencipe et al., 2011).

The link between the decrease in risk propensity and the effectiveness of CMs used at the last sexual intercourse suggests that developmental changes in decision-making may influence real-life health behaviors. This highlights the value of incorporating neurodevelopmental models into the design of interventions to improve adolescent SRH (Chipako et al., 2024).

In fact, our study contributes evidence to the theoretical corpus of SRH in adolescents, integrating constructs and methodological approaches from the cognitive sciences. There is evidence that SRH interventions have improved indicators in several countries (Chandra-Mouli et al., 2020; Chandra-Mouli et al., 2015). In general, intervention strategies to reduce risky sexual behaviors have been based on providing information to adolescents about available CMs and the risks of not using them. However, it has not been confirmed whether increasing knowledge about the consequences of risky sexual behaviors has an effect (Kovensky et al., 2021). Some authors argue that this type of intervention does not promote the development of more general competencies that enable and motivate adolescents to use prevention strategies (House et al., 2010) and should be accompanied by interventions that focus on behavioral strategies (Kovensky et al., 2021). In this regard, strategies that focus on general protective factors to reduce negative adolescent health outcomes, including SRH outcomes, are highlighted (Catalano et al., 2004; Charles & Blum, 2008).

These findings are particularly relevant in Latin American contexts where evidence on adolescent development is scarce, and much of the existing literature derives from WEIRD societies (Fernández-Theoduloz, 2024; Henrich, 2020). By using data from Uruguayan adolescents across different SES, our study offers a situated contribution to global adolescent health knowledge.

Limitations of the present study include the high attrition rate between T and T2, which, while expected during the COVID-19 pandemic (Fernández-Theoduloz et al., 2024; GACH, 2020; Vacaru et al., 2022), may limit generalizability. Additionally, the small T2 sample reduced statistical power and limited subgroup analyses. Another limitation is that this study has only two time points. More longitudinal studies are needed, starting at younger ages, and having three or more measurements, assessing a wide range of sexual behaviors. Finally, the exclusive use of cold executive function tasks may have constrained the assessment of self-regulation in emotionally charged situations (Ogilvie et al., 2020; Prencipe et al., 2011).

Future research should include larger, more diverse samples, integrate tasks that assess hot EFs, and examine gender differences in trajectories. Interventions should not only provide information about CMs but also enhance broader regulatory and decision-making capacities in adolescents (Kovensky et al., 2021).

In summary, this study supports the hypothesis that reductions in socioemotional-driven behaviors—rather than increases in cognitive control—play a central role in sexual risk decision-making across late adolescence. Findings underscore the need for developmentally tailored interventions to promote adolescent health outcomes in diverse contexts.

Conclusions

This study provides evidence that developmental changes in socioemotional reactivity, more than in cognitive control, are central to understanding sexual decision-making in adolescence. The observed decrease in risk propensity and immediacy, associated with more effective contraceptive use, highlights the importance of timing in interventions. These findings reinforce the value of using a developmental and context-sensitive approach to adolescent SRH, particularly in underrepresented regions such as Latin America. By focusing on cognitive predictors within a longitudinal design, this study contributes to a more nuanced understanding of adolescents' risk behavior trajectories. Future programs should incorporate strategies that promote not only access to information but also emotional regulation, impulse control, and future-oriented thinking.

Acknowledgments

To the adolescents who participated in the study. To the students of the bachelor's degree in Psychology, who contributed during the study. To the non-governmental organizations and public agencies that contributed to facilitating the participation of adolescents. To Alfonso Pérez for developing the software platform. To Mateo Baico for being the voice of the tutorials. To Alejandra Mordenel for editing the paper.

Funding

This study was funded by the United Nations Population Fund to the group and a Doctorate Scholarship from the Agencia Nacional de Investigación e Innovación (ANII, Uruguay) and a research grant from the Comisión Sectorial de Investigación Científica (CSIC, Udelar, Uruguay) to G.F.T.

Conflict of Interest Statement

The authors have no relevant financial or non-financial interests to disclose.



References

Acuña, I., Zalazar-Jaime, M. F., Michelini, Y., Guzmán, J. I., Godoy, J. C., Galarce, E., & Joireman, J. (2020). Argentine validation of the Consideration of Future Consequences Scale (CFC-14). Acta Colombiana de Psicología, 23(1), 346-356. https://doi.org/10.14718/ACP.2020.23.1.16

Adolphs, R. (2003). Cognitive neuroscience of human social behaviour. Nature Reviews. Neuroscience, 4(3), 165-178. https://doi.org/10.1038/nrn1056

Akirmak, Ü., & Oral, R. (2023). Cross-cultural validity of the consideration of future consequences scale (CFCS-14): A study on Turkish university students. Nesne, 11(28), 199-217. https://doi.org/10.7816/nesne-11-28-03

Albert, D., & Steinberg, L. (2011). Age Differences in Strategic Planning as Indexed by the Tower of London. Child Development, 82(5), 1501-1517. https://doi.org/10.1111/j.1467-8624.2011.01613.x

Alvarez-Núñez, L., & Vásquez-Echeverría, A. (2020). ¿Cómo resolvemos los dilemas entre los beneficios presentes y los futuros? Teoría y evaluación de la consideración de las consecuencias futuras. In V. Ortuño & A. Vásquez-Echeverría (Eds.), Psicología del tiempo: una introducción a la temporalidad en las ciencias del comportamiento (pp. 125-140). Comisión Sectorial de Investigación Científica - CSIC.

Appleby, P R., Marks, G., Ayala, A., Miller, L. C., Murphy, S., & Mansergh, G. (2005). Consideration of Future Consequences and Unprotected Anal Intercourse Among Men Who Have Sex with Men. Journal of Homosexuality, 50(1), 119-133. https://doi.org/10.1300/J082v50n01_06

Arain, M., Haque, A., Johal, L., Mathur, P., Nel, W., Rais, A., Sandhu, R., & Sharma, S. (2013). Maturation of the adolescent brain. Neuropsychiatric Disease and Treatment, 2013(9), 449-461. https://doi.org/10.2147/NDT.S39776

Arnau, J., & Bono, R. (2008). Estudios longitudinales. Modelos de diseño y análisis. Escritos de Psicología-Psychological Writings, 2(1), 32-41. https://doi.org/10.24310/espsiescpsi.v2i1.13356

Ashenhurst, J. R., Bujarski, S., Jentsch, J. D., & Ray, L. A. (2014). Modeling behavioral reactivity to losses and rewards on the Balloon Analogue Risk Task (BART): Moderation by alcohol problem severity. Experimental and Clinical Psychopharmacology, 22(4), 298-306. https://doi.org/10.1037/a0036837

Ashenhurst, J. R., Harden, K. P., Corbin, W. R., & Fromme, K. (2015). Trajectories of binge drinking and personality change across emerging adulthood. Psychology of Addictive Behaviors, 29(4), 978-991. https://doi.org/10.1037/adb0000116

Banati, P, & Lansford, J. E. (2018). Introduction: Adolescence in a Global Context. In J. E. Lansford & P Banati (Eds.), Handbook of Adolescent Development Research and Its Impact on Global Policy (pp. 1-23). Oxford University Press. https://doi.org/10.1093/oso/9780190847128.003.0001

Blakemore, S.-J., & Robbins, T. W. (2012). Decision-making in the adolescent brain. Nature Neuroscience, 15(9), 1184-1191. https://doi.org/10.1038/nn.3177

Burns, M. J., & Dillon, F. R. (2005). AIDS Health Locus of Control, Self-Efficacy for Safer Sexual Practices, and Fu­ture Time Orientation as Predictors of Condom Use in African American College Students. Journal of Black Psychology, 31(2), 172-188. https://doi.org/10.1177/0095798404268288

Carmi, N., & Bartal, E. (2014). Perception of Environmental Threat in the Shadow of War: The Effect of Future Orientation. Human and Ecological Risk Assessment: An International Journal, 20(3), 872-886. https://doi.org/10.1080/10807039.2013.798217

Casey, B. J. (2015). Beyond Simple Models of Self-Control to Circuit-Based Accounts of Adolescent Behavior. Annual Review of Psychology, 66(1), 295-319. https://doi.org/10.1146/annurev-psych-010814-015156

Casey, B. J., Jones, R. M., & Hare, T. A. (2008). The Adolescent Brain. Annals of the New York Academy of Sciences, 1124(1), 111-126. https://doi.org/10.1196/annals.1440.010

Catalano, R. F., Berglund, M. L., Ryan, J. A. M., Lonczak, H. S., & Hawkins, J. D. (2004). Positive Youth Development in the United States: Research Findings on Evaluations of Positive Youth Development Programs. The ANNALS of the American Academy of Political and Social Science, 591(1), 98-124. https://doi.org/10.1177/0002716203260102

Cauffman, E., & Steinberg, L. (2000). (Im)maturity of judgment in adolescence: why adolescents may be less culpable than adults. Behavioral Sciences & the Law, 18(6), 741-760. https://doi.org/10.1002/bsl.416

Chandra-Mouli, V., & Akwara, E. (2020). Improving access to and use of contraception by adolescents: What progress has been made, what lessons have been learnt, and what are the implications for action? Best Practice & Research Clinical Obstetrics & Gynecology, 66, 107-118. https://doi.org/10.1016Zj.bpobgyn.2020.04.003

Chandra-Mouli, V., Lane, C., & Wong, S. (2015). What Does Not Work in Adolescent Sexual and Reproductive Health: A Review of Evidence on Interventions Commonly Accepted as Best Practices. Global Health: Science and Practice, 3(3), 333-340. https://doi.org/10.9745/GHSP-D-15-00126

Chandra-Mouli, V., Akwara, E., Engel, D., Plessons, M., Asnake, M., Mehra, S., Dick, B., & Ferguson, J. (2020). Progress in adolescent sexual and reproductive health and rights globally between 1990 and 2016: what progress has been made, what contributed to this, and what are the implications for the future? Sexual and Reproductive Health Matters, 28(1), 1741495. https://doi.org/10.1080/26410397.2020.1741495

Charles, V. E., & Blum, R. W. (2008). Core competencies and the prevention of high-risk sexual behavior. New Directions for Child and Adolescent Development, 2008(122), 61-74. https://doi.org/10.1002/cd.229

Chipako, I., Singhal, S., & Hollingsworth, B. (2024). Impact of sexual and reproductive health interventions among young people in sub-Saharan Africa: A scoping review. Frontiers in Global Women's Health, 5, 1344135. https://doi.org/10.3389/fgwh.2024.1344135

Cohen, J., Cohen, P, West, S. G., & Aiken, L. (2003). Applied Multiple Regression/Correlation Analysis for the Behavioral Sciences (3rd ed.). Lawrence Erlbaum Associates, Inc., Publishers.

Córdova Pozo, K., Chandra-Mouli, V., Decat, P., Nelson, E., De Meyer, S., Jaruseviciene, L., Vega, B., Segura, Z., Auquilla, N., Hagens, A., Van Braeckel, D., & Michielsen, K. (2015). Improving adolescent sexual and reproductive health in Latin America: reflections from an International Congress. Reproductive Health, 12(1), 11. https://doi.org/10.1186/1742-4755-12-11

Crandall, A., Magnusson, B. M., & Novilla, M. L. B. (2018). Growth in Adolescent Self-Regulation and Impact on Sexual Risk-Taking: A Curve-of-Factors Analysis. Journal ofYouth and Adolescence, 47(4), 793-806. https://doi.org/10.1007/s10964-017-0706-4

Crandall, A. A., Magnusson, B. M., Novilla, M. L. B., Novilla, L. K. B., & Dyer, W. J. (2017). Family Financial Stress and Adolescent Sexual Risk-Taking: The Role of Self-Regulation. Journal ofYouth and Adolescence, 46(1), 45-62. https://doi.org/10.1007/s10964-016-0543-x

Crockett, L. J., Raffaelli, M., & Shen, Y.-L. (2006). Linking Self-Regulation and Risk Proneness to Risky Sexual Behavior: Pathways through Peer Pressure and Early Substance Use. Journal of Research on Adolescence, 16(4), 503-525. https://doi.org/10.1111/j.1532-7795.2006.00505.x

Crone, E. A., van Duijvenvoorde, A. C. K., & Peper, J. S. (2016). Annual Research Review: Neural contributions to risk-taking in adolescence - developmental changes and individual differences. Journal of Child Psychology and Psychiatry, 57(3), 353-368. https://doi.org/10.1111/jcpp.12502

D'Amico, E. J., Tucker, J. S., Shih, R. A., & Miles, J. N. V. (2014). Does Diversity Matter? The Need for Longitudinal Research on Adolescent Alcohol and Drug Use Trajectories. Substance Use & Misuse, 49(8), 1069-1073. https://doi.org/10.3109/10826084.2014.862027

De Vaus, D. (2001). Research Design in Social Research (1st ed.). SAGE Publications.

Defoe, I. N., Dubas, J. S., Figner, B., & van Aken, M. A. G. (2015). A meta-analysis on age differences in risky decision making: Adolescents versus children and adults. Psychological Bulletin, 141(1), 48-84. https://doi.org/10.1037/a0038088

Demidenko, M. I., Huntley, E. D., Martz, M. E., & Keating, D. P (2019). Adolescent Health Risk Behaviors: Convergent, Discriminant and Predictive Validity of Self-Report and Cognitive Measures. Journal ofYouth and Adolescence, 48(9), 1765-1783. https://doi.org/10.1007/s10964-019-01057-4

Derefinko, K. J., Peters, J. R., Eisenlohr-Moul, T. A., Walsh, E. C., Adams, Z. W., & Lynam, D. R. (2014). Relations between trait impulsivity, behavioral impulsivity, physiological arousal, and risky sexual behavior among young men. Archives of sexual behavior, 43(6), 1149-1158. https://doi.org/10.1007/s10508-014-0327-x

Díaz de Rada, V. (2007). Tipos de encuestas considerando la dimensión temporal. Papers. Revista de Sociologia, 86, 131-145. https://doi.org/10.5565/rev/papers/v86n0.814

Dir, A. L., Coskunpinar, A., & Cyders, M. A. (2014). A meta-analytic review of the relationship between adolescent risky sexual behavior and impulsivity across gender, age, and race. Clinical Psychology Review, 34(7), 551-562. https://doi.org/10.1016/j.cpr.2014.08.004

Downs, J. S., & Fischhoff, B. (2009). Theories and Models of Adolescent Decision Making. In R. J. DiClemente, J. S. Santelli, & R. A. Crosby (Eds.), Adolescent health: Understanding and preventing risk behaviors (pp. 77-94). Jossey-Bass.

Duell, N., Steinberg, L., Chein, J., Al-Hassan, S. M., Bacchini, D., Lei, C., Chaudhary, N., Di Giunta, L., Dodge, K. A., Fanti, K. A., Lansford, J. E., Malone, P S., Oburu, P, Pastorelli, C., Skinner, A. T., Sorbring, E., Tapanya, S., Uribe Tirado, L. M., & Alampay, L. P (2016). Interaction of reward seeking and self-regulation in the prediction of risk taking: A cross-national test of the dual systems model. Developmental Psychology, 52(10), 1593-1605. https://doi.org/10.1037/dev0000152

Duell, N., Steinberg, L., Icenogle, G., Chein, J., Chaudhary, N., Di Giunta, L., Dodge, K. A., Fanti, K. A., Lansford, J. E., Oburu, P., Pastorelli, C., Skinner, A. T., Sorbring, E., Tapanya, S., Uribe Tirado, L. M., Alampay, L. P, Al-Hassan, S. M., Takash, H. M. S., Bacchini, D., & Chang, L. (2018). Age Patterns in Risk Taking Across the World. Journal of Youth and Adolescence, 47(5), 1052-1072. https://doi.org/10.1007/s10964-017-0752-y

Fernández-Theoduloz, G. (2024). Research in Latin America from a decolonial perspective: Challenges of producing socially situated knowledge. Journal of Research on Adolescence, 34(2), 517-520. https://doi.org/10.1111/jora.12951

Fernández-Theoduloz, G., Brunet, N., Godoy, J. C., Steinberg, L., & López-Gómez, A. (2023). Risk Sexual Behaviors in Uruguayan Adolescents: the Role of Self-Regulation and Sex-Gender. Trends in Psychology, 33, 449-468. https://doi.org/10.1007/s43076-023-00284-w

Fernández-Theoduloz, G., Chirullo, V., Montero, F., Ruiz, P, Selma, H., & Paz, V. (2024). Longitudinal changes in depression and anxiety during COVID-19 crisis in Uruguay. Current Psychology, 43, 13841-13849. https://doi.org/10.1007/s12144-022-03460-w

Fernie, G., Cole, J. C., Goudie, A. J., & Field, M. (2010). Risk-taking but not response inhibition or delay discounting predict alcohol consumption in social drinkers. Drug and Alcohol Dependence, 112(1-2), 54-61. https://doi.org/10.1016/j.drugalcdep.2010.05.011

Fox, J. (2016). Applied regression analysis and generalized linear models (3rd ed.). SAGE Publications.

Fox, J. (2019). An R Companion to Applied Regression (3rd ed.). SAGE Publications.

GACH. (2020). Informe: Análisis de situación de la epidemia en Uruguay al 18 de enero. https://medios.presidencia.gub.uy/llp_portal/2021/GACH/INFORMES/analisis_situacion_final_18_01_21.pdf

Gailliot, M. T., & Baumeister, R. F. (2007). Self-Regulation and Sexual Restraint: Dispositionally and Temporarily Poor Self-Regulatory Abilities Contribute to Failures at Restraining Sexual Behavior. Personality and Social Psychology Bulletin, 33(2), 173-186. https://doi.org/10.1177/0146167206293472

Griffin, K. W., Scheier, L. M., Acevedo, B., Grenard, J. L., & Botvin, G. J. (2011). Long-Term Effects of Self-Control on Alcohol Use and Sexual Behavior among Urban Minority Young Women. International Journal of Environmental Research and Public Health, 9(1), 1-23. https://doi.org/10.3390/ijerph9010001

Guillon, M., Fouéré, S., Segouin, C., & Simon, A. (2019). The association between future time perspective and sexual behaviours in individuals attending HIV testing centers. European Journal of Public Health, 29(6), 1037-1042. https://doi.org/10.1093/eurpub/ckz040

Harden, K. P., Kretsch, N., Mann, F. D., Herzhoff, K., Tackett, J. L., Steinberg, L., & Tucker-Drob, E. M. (2017). Beyond dual systems: A genetically-informed, latent factor model of behavioral and self-report measures related to adolescent risk-taking. Developmental Cognitive Neuroscience, 25, 221-234. https://doi.org/10.1016/j.dcn.2016.12.007

Henrich, J. (2020). The WEIRDest people in the world: How the West became psychologically peculiar and particularly prosperous. Penguin UK.

Henrich, J., Heine, S. J., & Norenzayan, A. (2010a). The weirdest people in the world? Behavioral and Brain Sciences, 33(2-3), 61-83. https://doi.org/10.1017/S0140525X0999152X

Henrich, J., Heine, S. J., & Norenzayan, A. (2010b). Most people are not WEIRD. Nature, 466, 29. https://doi.org/10.1038/466029a

House, L. D., Bates, J., Markham, C. M., & Lesesne, C. (2010). Competence as a Predictor of Sexual and Reproductive Health Outcomes for Youth: A Systematic Review. Journal of Adolescent Health, 46(3), S7-S22. https://doi.org/10.1016/j.jadohealth.2009.12.003

Kalina, O., Orosová, O., Kriaucioniene, V., & Lukács, A. (2017). The role of self-regulation and life-optimism in sexual risk behaviour in university students from Hungary, Lithuania and Slovakia. Health Problems of Civilization, 11(3), 180-189. https://doi.org/10.5114/hpc.2017.70009

Khurana, A., Romer, D., Betancourt, L. M., Brodsky, N. L., Giannetta, J. M., & Hurt, H. (2012). Early adolescent sexual debut: The mediating role of working memory ability, sensation seeking, and impulsivity. Developmental Psychology, 48(5), 1416-1428. https://doi.org/10.1037/a0027491

Kim-Spoon, J., Kahn, R., Deater-Deckard, K., Chiu, P, Steinberg, L., & King-Casas, B. (2016). Risky decision making in a laboratory driving task is associated with health risk behaviors during late adolescence but not adulthood. International Journal of Behavioral Development, 40(1), 58-63. https://doi.org/10.1177/0165025415577825

Knowles, A., Rinehart, J. K., Steinberg, L., Frick, P J., & Cauffman, E. (2020). Risky Sexual Behavior among Arrested Adolescent Males: The Role of Future Expectations and Impulse Control. Journal of Research on Adolescence, 30(S2), 562-579. https://doi.org/10.1111/jora.12499

Kogan, S. M., Brody, G. H., Chen, Y.-F., & DiClemente, R. J. (2011). Self-regulatory Problems Mediate the Association of Contextual Stressors and Unprotected Intercourse among Rural, African American, Young Adult Men. Journal of Health Psychology, 16(1), 50-57. https://doi.org/10.1177/1359105310367831

Kovensky, R., Khurana, A., Guyer, S., & Leve, L. D. (2021). Childhood Adversity, Impulsivity, and HIV Knowledge as Predictors of Sexual Risk Outcomes in At-Risk Female Youth. Adolescents, 1 (1), 56-69. https://doi.org/10.3390/adolescents1010006

Lejuez, C. W., Aklin, W. M., Zvolensky, M. J., & Pedulla, C. M. (2003). Evaluation of the Balloon Analogue Risk Task (BART) as a predictor of adolescent real-world risk-taking behaviours. Journal of Adolescence, 26(4), 475-479. https://doi.org/10.1016/S0140-1971(03)00036-8  

Lejuez, C. W., Aklin, W., Daughters, S., Zvolensky, M., Kahler, C., & Gwadz, M. (2007). Reliability and Validity of the Youth Version of the Balloon Analogue Risk Task (BART-Y) in the Assessment of Risk-Taking Behavior Among Inner-City Adolescents. Journal of Clinical Child & Adolescent Psychology, 36(1), 106-111. https://doi.org/10.1080/15374410709336573

Lejuez, C. W., Read, J. P, Kahler, C. W., Richards, J. B., Ramsey, S. E., Stuart, G. L., Strong, D. R., & Brown, R. A. (2002). Evaluation of a behavioral measure of risk taking: The Balloon Analogue Risk Task (BART). Journal of Experimental Psychology: Applied, 8(2), 75-84. https://doi.org/10.1037/1076-898X.8.2.75

Lenth, R. V. (2016). Least-Squares Means: The R Package lsmeans. Journal of Statistical Software, 69(1), 1-33. https://doi.org/10.18637/jss.v069.i01

Liverpool, L. (2021). Researchers from global south under-represented in development research. Nature. https://doi.org/10.1038/d41586-021-02549-9

Luciana, M., & Collins, P. F. (2012). Incentive motivations, cognitive control, and the adolescent brain: Is it time for a paradigm shift? Child Development Perspectives, 6(4), 392-399. https://doi.org/10.1111/j.1750-8606.2012.00252.x

Luciana, M., Collins, P. F., Olson, E. A., & Schissel, A. M. (2009). Tower of London Performance in Healthy Adolescents: The Development of Planning Skills and Associations With Self-Reported Inattention and Impulsivity. Developmental Neuropsychology, 34(4), 461-475. https://doi.org/10.1080/87565640902964540

Luna, B., & Wright, C. (2016). Adolescent brain development: Implications for the juvenile criminal justice system. In APA Handbook of Psychology and Juvenile Justice (pp. 91-116). American Psychological Association. https://doi.org/10.1037/14643-005

Magnusson, B. M., Crandall, A., & Evans, K. (2019). Early sexual debut and risky sex in young adults: the role of low self-control. BMC Public Health, 19(1), 1483. https://doi.org/10.1186/s12889-019-7734-9

Miller, A., & Gizer, I. (2024). Dual-systems models of the genetic architecture of impulsive personality traits. Psychological Medicine, 54(8), 1533-1543. https://doi.org/10.1017/S0033291723003367

Mohammed, S., & Marhefka, J. T. (2020). How have we, do we, and will we measure time perspective? A review of methodological and measurement issues. Journal of Organizational Behavior, 41(3), 276-293. https://doi.org/10.1002/job.2414

Moilanen, K. L. (2015). Short- and Long-Term Self-Regulation and Sexual Risk-Taking Behaviors in Unmarried Heterosexual Young Adults. The Journal of Sex Research, 52(7), 758-769. https://doi.org/10.1080/00224499.2014.959881

Moilanen, K. L., & Manuel, M. L. (2018). Mechanisms Linking Self-Regulation and Sexual Behaviors in Never-Married Young Adults. The Journal of Sex Research, 55(1), 120-133. https://doi.org/10.1080/00224499.2017.1330394

Newman, S. D., Greco, J. A., & Lee, D. (2009). An fMRI study of the Tower of London: A look at problem structure differences. Brain Research, 1286, 123-132. https://doi.org/10.1016/j.brainres.2009.06.031

O'Sullivan, L. F., & Thompson, A. E. (2014). Sexuality in adolescence. In D. L. Tolman, L. M. Diamond, J. A. Bauermeister, W. H. George, J. G. Pfaus, & L. M. Ward (Eds.), APA handbook of sexuality and psychology, Vol. 1. Person-based approaches (pp. 433-486). American Psychological Association. https://doi.org/10.1037/14193-015

Ogilvie, J. M., Shum, D. H. K., & Stewart, A. (2020). Executive Functions in Late Adolescence and Early Adulthood and Their Relationship with Risk-Taking Behavior. Developmental Neuropsychology,45(7-8), 446-468. https://doi.org/10.1080/87565641.2020.1833885

Patton, G. C., Azzopardi, P, Kennedy, E., Coffey, C., & Mokdad, A. (2017). Global Measures of Health Risks and Disease Burden in Adolescents. In D. A. P. Bundy, N. de Silva, S. Horton, D. T. Jamison, & G. C. Patton (Eds.), Disease Control Priorities, Third Edition (Volume 8): Child and Adolescent Health and Development. World Bank. https://doi.org/10.1596/978-1-4648-0423-6

Peirce, J. W. (2007). PsychoPy--Psychophysics software in Python. Journal of Neuroscience Methods, 162(1-2), 8-13. https://doi.org/10.1016/j.jneumeth.2006.11.017

Peirce, J. W. (2008). Generating stimuli for neuroscience using PsychoPy. Frontiers in Neuroinformatics, 2, 10. https://doi.org/10.3389/neuro.11.010.2008

Perera, M., & Cazulo, P. (2016). Índice de Nivel Socioeconómico. http://ceismu.org/site/wp-content/uploads/inse-in-forme-final-28032016.pdf

Prata, N., & Weidert, K. (2020). Adolescent Sexual and Reproductive Health. In Oxford Research Encyclopedia of Global Public Health. Oxford University Press. https://doi.org/10.1093/acrefore/9780190632366.013.206

Prencipe, A., Kesek, A., Cohen, J., Lamm, C., Lewis, M. D., & Zelazo, P D. (2011). Development of hot and cool exec­utive function during the transition to adolescence. Journal of Experimental Child Psychology, 108(3), 621-637. https://doi.org/10.1016/j.jecp.2010.09.008

Quinn, P. D., & Fromme, K. (2010). Self-regulation as a protective factor against risky drinking and sexual behavior. Psychology of Addictive Behaviors, 24(3), 376-385. https://doi.org/10.1037/a0018547

Raffaelli, M., & Crockett, L. J. (2003). Sexual risk taking in adolescence: the role of self-regulation and attraction to risk. Developmental psychology, 39(6), 1036-1046. https://doi.org/10.1037/0012-1649.39.6.1036

Reina, M. F., & Castelo-Branco, C. (2018). Teenage Pregnancy: A Latin-American Concern. Obstetrics and Gynecology Research, 01(04), 85-93. https://doi.org/10.26502/ogr014

Salehinejad, M. A., Ghanavati, E., Rashid, M. H. A., & Nitsche, M. A. (2023). Hot and cold executive functions in the brain: A prefrontal-cingular network. Brain and Neuroscience Advances, 5, 1-19. https://doi.org/10.1177/23982128211007769

Sawyer, S. M., Azzopardi, P S., Wickremarathne, D., & Patton, G. C. (2018). The age of adolescence. The Lancet Child & Adolescent Health, 2(3), 223-228. https://doi.org/10.1016/S2352-4642(18)30022-1

Sergeant, J. A., Geurts, H., & Oosterlaan, J. (2002). How specific is a deficit of executive functioning for Attention-Deficit/Hyperactivity Disorder? Behavioural Brain Research, 130(1-2), 3-28. https://doi.org/10.1016/ S0166-4328(01)00430-2

Shallice, T. (1982). Specific Impairments of Planning. Philosophical Transactions of the Royal Society B: Biological Sciences, 298(1089), 199-209. https://doi.org/10.1098/rstb.1982.0082

Shek, D. T. L., & Ng, C. S. M. (2016). Longitudinal research design in adolescent developmental research. International Journal on Disability and Human Development, 15(4), 349-358. https://doi.org/10.1515/IJDHD-2017-5002

Shulman, E. P, Smith, A. R., Silva, K., Icenogle, G., Duell, N., Chein, J., & Steinberg, L. (2016). The dual systems model: Review, reappraisal, and reaffirmation. Developmental Cognitive Neuroscience, 17, 103-117. https://doi.org/10.1016/j.dcn.2015.12.010

Silva, K., Shulman, E. P., Chein, J., & Steinberg, L. (2016). Peers Increase Late Adolescents' Exploratory Behavior and Sensitivity to Positive and Negative Feedback. Journal of Research on Adolescence, 26(4), 696-705. https://doi.org/10.1111/jora.12219

Speizer, I. S., Guilkey, D., Calhoun, L. M., Corroon, M., & O'Hara, R. (2017). Examination of youth sexual and reproductive health transitions in Nigeria and Kenya using longitudinal data. BMC Public Health, 17(1), 142. https://doi.org/10.1186/s12889-017-4039-8

Steinberg, L. (2008). A social neuroscience perspective on adolescent risk-taking. Developmental Review, 28(1), 78-106. https://doi.org/10.1016/j.dr.2007.08.002

Steinberg, L. (2010). A dual systems model of adolescent risk-taking. Developmental Psychobiology, 52(3), 216-224. https://doi.org/10.1002/dev.20445

Steinberg, L., Icenogle, G., Shulman, E. P., Breiner, K., Chein, J., Bacchini, D., Chang, L., Chaudhary, N., Di Giunta, L., Dodge, K. A., Fanti, K. A., Lansford, J. E., Malone, P. S., Oburu, P, Pastorelli, C., Skinner, A. T., Sorbring, E., Tapanya, S., Tirado, L. M. U., ... Takash, H. M. S. (2017). Around the world, adolescence is a time of height­ened sensation seeking and immature self-regulation. Developmental Science, 21(2), e12532. https://doi.org/10.1111/desc.12532

UNICEF. (2017). The Adolescent Brain: A second window of opportunity. A compendium (N. Balvin & P. Banati, Eds.). Office of Research - Innocenti.

Vacaru, S. V., Beijers, R., & de Weerth, C. (2022). Internalizing symptoms and family functioning predict adolescent depressive symptoms during COVID-19: A longitudinal study in a community sample. PLOS ONE, 17(3), e0264962. https://doi.org/10.1371/journal.pone.0264962

van de Bongardt, D., de Graaf, H., Reitz, E., & Dekovic, M. (2014). Parents as Moderators of Longitudinal Associations Between Sexual Peer Norms and Dutch Adolescents' Sexual Initiation and Intention. Journal of Adolescent Health, 55(3), 388-393. https://doi.org/10.1016/j.jadohealth.2014.02.017

Vásquez-Echeverría, A., Antino, M., Alvarez-Nuñez, L., & Rodríguez-Muñoz, A. (2018). Evidence for the reliability and factor solution of the CFCS-14 in Spanish: A multi-method validation in Spain and Uruguay. Personality and Individual Differences, 123, 171-175. https://doi.org/10.1016Zj.paid.2017.11.021

Vásquez-Echeverría, A., Esteves, C., Vilares Gomes, C., & Ortuño, V. E. C. (2015). Portuguese Validation of the Consideration of Future Consequences Scale. The Spanish Journal of Psychology, 18, E7. https://doi.org/10.1017/sjp.2015.5

Vásquez Echeverría, A., Martín, A., Esteves, C., Ortuño, V. E. C., & Joireman, J. (2017). Adaptación y Validación Inicial al Castellano de la Escala de Consideración de las Consecuencias Futuras. Revista Iberoamericana de Diagnóstico y Evaluación Psicológica, 44(2), 5-15. https://doi.org/10.21865/RIDEP44.2.01

Wasserman, A. M., Crockett, L. J., & Hoffman, L. (2017). Reward Seeking and Cognitive Control: Using the Dual Systems Model to Predict Adolescent Sexual Behavior. Journal of Research on Adolescence, 27(4), 907-913. https://doi.org/10.1111/jora.12321

WHO, Bloomberg School of Public Health - Johns Hopkins, & United States Agency for International Development. (2011). Family Planning. A Global Handbook for Providers. http://apps.who.int/iris/bitstream/10665/44028/1/9780978856373_eng.pdf




Inicio